X

Additifs Alimentaires : Guide des Additifs Alimentaires de A à Z

Découvrez notre guide des additifs alimentaires de A à Z, leurs caractéristiques, leurs utilisations, leurs valeurs nutritionnelles, leurs origines et leurs bienfaits. Pour en savoir plus sur les aliments, n’hésitez pas à nous contacter.

curcumine

E100 : Curcumine

La curcumine est employée comme additif alimentaire en raison de sa fonction de colorant. Elle provient de sources végétales, ce qui la qualifie de « naturelle », en opposition à d'autres colorants fabriqués artificiellement. Lorsqu'elle est intégrée dans un produit, la liste des ingrédients la désigne sous le code « E100 ». Elle est aussi connue sous son nom anglais curcumin.
e101-riboflavine

E101 : Riboflavine

L’E101 est un additif alimentaire qui est couramment appelé « vitamine B2 » ou « riboflavine ». Présent naturellement dans certains aliments, ...
tartrazine

E102 : Tartrazine

La tartrazine est un colorant de synthèse. Ce composé azoïque est largement utilisé, car il est facile à produire, donc peu coûteux. Il est employé aussi bien dans l'alimentation industrielle que dans les produits cosmétiques, pharmaceutiques et textiles. Toutefois, en tant qu’additif alimentaire, aussi connu par son code E102, ce produit est sujet à controverse.
jaune-orange-s-e110

E110 : Jaune orangé S

L'additif E110 est un colorant synthétique largement utilisé dans l'alimentation. Sa principale fonction est de donner une teinte jaune ou orangée à divers produits alimentaires. Toutefois, il trouve des usages intéressants en cosmétique et en pharmacie. Sa singularité repose sur sa stabilité, sa solubilité dans l'eau et son adaptabilité aux régimes végétariens.
e1103-invertase

E1103 : Invertase

L’E1103, également connu sous le nom d’invertase ou de bêta-fructofuranosidase, est une enzyme appartenant à la famille des glycosides hydrolases.
e1105-lysozyme

E1105 : Lysozyme

L’E1105 – lysozyme est naturellement présent dans le lait et les œufs. Dans l’industrie, notamment fromagère et laitière, il est utilisé comme additif alimentaire.
acide-carminique-carmins-e120

E120 : Acide carminique, Carmins

Le code E120, pigment anthraquinonique naturel, est un produit dérivé de la cochenille. Cette dernière est un insecte qui produit une substance rouge vive lorsqu’elle se défend contre ses prédateurs. De celle-ci est issu l’acide carminique, constituant l'élément colorant du carmin, qui se caractérise par la formule chimique C22H20O13.
cochenille

E120 : Cochenille

La cochenille désigne un insecte originaire d’Amérique du Sud qui sécrète de l’acide carminique. Celui-ci est utilisé comme colorant alimentaire sous le code E120 sur les étiquettes. Ce pigment présente généralement une coloration rouge, mais avec quelques variantes possibles, selon les méthodes de production.
e1200-polydextrose

E1200 : Polydextrose

Les anthocyanes, également connues comme l’additif alimentaire E163, trouvent leur origine dans les végétaux. Elles font partie de ceux qui jouissent d’une autorisation en France. Leur usage se base notamment sur leur capacité colorante, qui vire du rouge au bleu.
e1202-polyvinylpolypyrrolidone

E1202 : Polyvinylpolypyrrolidone

L’E1202 ou polyvinylpolypyrrolidone est un additif alimentaire connu aussi sous le nom de « crospovidone ». Il s’agit d’un composé organique polymérisé en présence d’un alcali (KOH), bien que sa synthèse soit identique à celle de la polyvinylpyrrolidone (PVP). Cette réaction chimique, par laquelle des petites molécules réagissent entre elles, a pour effet de rompre le cycle pyrrolidone. 
e1204-pullulane

E1204 : Pullulane

Le Codex Alimentarius autorise l’utilisation de l’E1204 dans une large gamme d’aliments, bien que celui-ci ne puisse pas convenir à tous types de régimes. Cet additif est reconnu comme sûr selon les différentes autorités, que ce soit au sein de l’Union européenne ou sur d’autres territoires.
e1205-copolymere-basique-de-methacrylate-de-butyle

E1205 : Copolymère basique de méthacrylate de butyle

L’E1205 est un additif alimentaire synthétique qui figure sur la liste des agents d’enrobage du standard international du Codex Alimentarius. Il s’agit d’un polymère, formé principalement à partir du méthacrylate de butyle et d’autres monomères. Son utilisation ne présente aucun effet secondaire sur la santé, tant que les critères d’application sont respectés. 
e122-azorubine

E122 : Azorubine, carmoisine

L’E122, appelé « azorubine » ou « carmoisine », est un colorant alimentaire synthétique. Il permet de donner une coloration rouge vif à des boissons gazeuses, des produits de boulangerie et des bonbons.
e123-amarante

E123 : Amarante

L’E123 est un additif alimentaire dont les propriétés colorantes sont prononcées. Pendant longtemps, l’industrie alimentaire s’en servait pour colorer les aliments en rouge, violet, bleu-rouge ou brun-rouge.
ponceau-4r-e124

E124 : Ponceau 4R

Le code E124 fait référence au ponceau 4R, un colorant largement utilisé dans l'industrie alimentaire. Il est particulièrement reconnaissable à sa teinte rouge. En raison de sa capacité à fournir cette couleur vive et stable, il est présent dans une variété d'aliments, notamment les boissons, les desserts, les produits de boulangerie et les dérivés laitiers.
e127-erythrosine

E127 : Érythrosine

L’E127 est un additif alimentaire controversé. Son utilisation est, en effet, sujette à de nombreuses restrictions, quel que soit son domaine d’application. Depuis plusieurs années, ce colorant synthétique fait l’objet de nombreux débats, visant à interdire son emploi. Son usage s’avère être nocif pour la santé, surtout pour les enfants.
rouge-allura-ac-e129

E129 : Rouge allura AC

L’additif alimentaire désigné par le code E129 est connu sous le nom de « rouge allura AC ». Il est largement utilisé dans l'industrie alimentaire afin de conférer une teinte rouge vif à divers produits. Cette substance est présente dans une variété de nourritures industrielles, notamment les confiseries, les boissons, les desserts et les préparations boulangères.
bleu-patente-v-e131

E131 : Bleu patenté V

Le E131, connu sous le nom de  « bleu patenté V », est un composé chimique dérivé du méthane. Il est utilisé comme colorant de synthèse dans diverses denrées alimentaires. Souvent commercialisé sous forme de poudre fine, ce produit est également utilisé à des fins médicales. Toutefois, comme tout additif alimentaire, il présente des risques potentiels pour la santé humaine.
bleu-brillant-fcf-e133

E133 : Bleu brillant FCF

Tout savoir sur l’E133 Bleu brillant FCF : caractéristiques, compositions, rôles en nutrition, utilisations, risques, réglementations et alternatives L'E133, également connu sous le nom de bleu brillant FCF ou Acid Blue 9, est un colorant alimentaire. Il est largement utilisé dans l'industrie agroalimentaire, principalement pour sa teinte bleue. Cette substance est notamment répandue dans la fabrication de bonbons. Caractéristiques de l’E133 Il s’agit d’un additif alimentaire artificiel dérivé de la pétrochimie, présenté sous forme de poudre ou de liquide de couleur bleue à violette. Souvent utilisé dans l'industrie agroalimentaire, l’E133 est apprécié pour sa facilité d'utilisation, sa capacité à être mélangé à d'autres
e1404-amidons-oxydes

E1404 : Amidons oxydés

L’E1404, connu également sous les noms d’« amidon oxydé » ou d’« amidon modifié », est un additif couramment utilisé dans l’industrie alimentaire. Il s’agit d’une substance d’origine végétale, mais elle doit être distinguée de la forme naturelle, puisqu’elle subit un processus de fabrication. Ce dernier apporte différentes modifications qui donnent lieu à divers types d’amidon.
e141-complexe-cuivre-chlorophylline

E141 : Complexe cuivre-chlorophylline

E141 est le numéro de code attribué par le Codex Alimentarius aux complexes cuivre-chlorophylle et cuivre- chlorophylline. Ces substances sont des composés artificiels obtenus par l’ajout de cuivre à la chlorophylle et à la chlorophylline qui en est un dérivé. Cet additif alimentaire étant produit synthétiquement à partir d’un colorant naturel, il en porte la couleur.
e1410-phosphate-amidon

E1410 : Phosphate d’amidon

Dans l’industrie agroalimentaire, E1410 est le code correspondant au phosphate d’amidon, un additif couramment utilisé dans ce secteur. Il résulte de l’amidon extrait de la pomme de terre, du maïs ou du blé. Une fois synthétisée, cette substance sert d’émulsifiant et d’épaississant dans diverses denrées alimentaires. Ce composé est également connu sous le nom de « phosphate de monoamidon ». 
e1412-phosphate-de-diamidon

E1412 : Phosphate de diamidon

L’E1412 est l’un des amidons modifiés appréciés dans le domaine agroalimentaire pour leurs propriétés gélifiantes, épaississantes et liantes. Les entités compétentes autorisent son utilisation dans une variété de denrées destinées à toutes les tranches d’âge.
e1413-phosphate-de-diamidon-phosphate

E1413 : Phosphate de diamidon phosphaté

L’E1413 porte le nom scientifique de « phosphate de diamidon phosphaté ». Il s’agit d’un additif alimentaire couramment ajouté dans les produits comme épaississant et stabilisant. Cet amidon modifié est autorisé dans les aliments sans restriction quantitative et conformément aux bonnes pratiques de fabrication. Seul le dosage dans l’alimentation pour enfants en bas âge est limité.
e1414-phosphate-de-diamidon-acetyle

E1414 : Phosphate de diamidon acétylé

L'E1414 est le code attribué par le Codex Alimentarius pour désigner le phosphate de diamidon acétylé. Cet additif alimentaire est polyvalent, raison pour laquelle il est couramment appliqué dans bon nombre de recettes culinaires. Généralement considéré comme « sans danger » pour la consommation humaine, les autorités sanitaires européennes et américaines ont approuvé son utilisation dans les limites fixées par la réglementation.
e142-vert-s

E142 : Vert S

L’E142 est un colorant synthétique considéré comme non carcinogène par l’Autorité européenne de sécurité alimentaire (EFSA). Son application
e1420-amidon-acetyle

E1420 : Amidon acétylé

L’amidon acétylé est un additif fréquemment présent dans de nombreuses recettes culinaires en raison de ses propriétés. Il est souvent utilisé comme agent épaississant, stabilisant et texturant dans une variété de produits alimentaires. Le Codex Alimentarius lui attribue le code E1420 pour son identification. En raison de ses caractéristiques améliorées, il peut également être trouvé dans de nombreuses autres applications intéressantes.
e1442-phosphate-hydroxypropyl-diamidon

E1442 : Phosphate d’hydroxypropyl-diamidon

L’E1442, connu sous le nom de phosphate d’hydroxypropyl-diamidon ou de phosphate de diamidon hydroxypropylique, est un additif alimentaire à base d’amidon modifié. Utilisée comme épaississant, stabilisant et émulsifiant, cette substance a la particularité de résister aux enzymes, aux acides et à la chaleur.
e1450-octenyle-succinate-amidon-sodique

E1450 : Octényle succinate d’amidon sodique

L’E944, aussi appelé « propane », est un gaz inflammable. Il est employé comme propulseur dans les bombes aérosols. L’utilisation de cette substance dans les produits alimentaires est réglementée par les autorités sanitaires. Des limites strictes sont établies pour garantir sa sécurité et son innocuité.
e1451-amidon-oxyde-acetyle

E1451 : Amidon oxydé acétylé

L’amidon naturel, dit « natif », présente peu d’intérêt pour les industriels. Ces derniers ont ainsi eu recours à sa transformation de manière à obtenir des composés chimiques qui se prêtent mieux à la fabrication des aliments. L’E1451 est l’une des douze versions modifiées de ce sucre complexe.
e1452-starch-aluminium-octenyl-succinate

E1452 : Starch aluminium octenyl succinate

E1452 est la désignation européenne de l’octénylsuccinate d’aluminium et d’amidon. Il s’agit d’un additif synthétique ajouté dans divers produits comme émulsifiant, stabilisant, épaississant ou agent de texture. En raison de ses diverses propriétés, d’autres secteurs industriels se servent également de ce type d’amidon modifié.
colorant-caramel-e150

E150 : Colorant caramel

Le code E150 fait référence au colorant caramel. Cet additif alimentaire est reconnaissable par sa coloration qui va du jaune clair au brun foncé. Par sa solubilité dans l’eau, le caramel colorant est utilisé dans la composition de plusieurs denrées alimentaires, auxquelles il confère un aspect plus attrayant.
e151-noir-brillant-bn-noir-pn

E151 : Noir brillant BN, Noir PN

L’E151 est un colorant noir appartenant à la famille des azoïques. Cette substance artificielle pétrochimique est compatible avec un régime halal, végétarien ou casher. Toutefois, son utilisation est interdite dans l’alimentation bio.
alcool-ethylique

E1510 : Alcool éthylique

L’alcool éthylique, communément appelé « alcool » ou « éthanol », est le composant de base des boissons alcoolisées. Malgré ses effets psychotropes et le risque de dépendance, ce produit apporte des bienfaits considérables, particulièrement sur la sphère cardiovasculaire. Toutefois, il est important de le consommer avec modération.
e1517-diacetate-de-glyceryle

E1517 : Diacétate de glycéryle

Répertoriée sous la référence E1517, la diacétate de glycéryle est présente dans les aliments en tant que support additif. Les termes comme « diacétate » ou « diacétine » permettent également de la désigner. Cette substance chimique est principalement utilisée dans le but de faciliter le processus de préparation des denrées, sans pour autant en constituer un ingrédient.
e1518-glycerol-triacetate

E1518 : Glycérol triacétate

L’E1518 est un additif alimentaire connu sous diverses appellations : triacétate de glycéryle, triacétate de glycérole et triacétine. Ce composé synthétique est couramment utilisé comme émulsifiant. La FDA (Food and Drug Administration) affirme cette substance comme GRAS (généralement reconnu comme sûr). Plusieurs pays autorisent son usage en tant que supplément alimentaire.
e1519-alcool benzylique

E1519 : Alcool benzylique

L’E1519 est un additif alimentaire qui fait référence à l’alcool de benzyle. Ce dernier est  naturellement présent dans les fruits et plusieurs plantes, mais il peut aussi être issu de synthèse.
e1520-propylene-glycol

E1520 : Propylène glycol

L’E1520 est un liquide épais synthétique, pouvant être intégré à faible dose dans des denrées alimentaires en tant qu’agent de texture. Son utilisation s'étend dans différents domaines.
polyethylene-glycol

E1521 : Polyéthylène glycol

Polyéthylène glycol, PEG-2000, macrogol et E1521 désignent tous le polymère d’éthylène glycol. Il s’agit d’un composé chimique constitué de polyéthers linéaires. Ces derniers sont catégorisés en fonction de leur poids moléculaire moyen. Ils sont connus pour leur polyvalence, justifiée par leur utilisation en alimentation, en médecine ou encore en cosmétique.
beta-carotene

E160 : Bêta-carotène

Comme ses actions dans l’organisme sont similaires à celles du rétinol, le bêta-carotène est le principal précurseur de la vitamine A. Ce colorant jaune-orangé est très répandu dans le monde végétal. Manger des fruits et des légumes de la même couleur est la meilleure manière de l’ingérer. Toutefois, cette molécule naturelle est aussi utilisée comme colorant cosmétique et additif alimentaire. 
e161-xanthophylle

E161 : Xanthophylle

L’E161 est un additif alimentaire qui fait partie de la catégorie des colorants. Il appartient à la famille des caroténoïdes, plus précisément des pigments jaunes appelés « xanthophylles ».
anthocyane-e163

E163 : Anthocyane

Les anthocyanes, également connues comme l’additif alimentaire E163, trouvent leur origine dans les végétaux. Elles font partie de ceux qui jouissent d’une autorisation en France. Leur usage se base notamment sur leur capacité colorante, qui vire du rouge au bleu.
carbonate-de-calcium

E170 : Carbonate de calcium

Le carbonate de calcium est un minéral omniprésent dans l’environnement. Principale composante des coquilles et des os, il est également exploité dans plusieurs domaines industriels grâce à ses multiples qualités. Il recèle un grand nombre de caractéristiques qui en font une ressource incontournable pour de multiples applications depuis l'Antiquité.
e171-dioxyde-de-titane

E171 : Dioxyde de titane

L’E171 est un additif alimentaire plus connu sous le nom de « dioxyde de titane ». Il est également l’un des éléments chimiques qui existent abondamment sur la surface terrestre. À part son rôle dans l’alimentation, ce composé possède plusieurs champs d’application. Il est notamment employé dans l’industrie cosmétique et pharmaceutique. Il se révèle aussi utile dans le domaine du BTP.
e173-aluminium

E173 : Aluminium

L’aluminium est classé parmi les colorants dans la liste des additifs alimentaires. Pour son identification, le Codex Alimentarius lui attribue le code E173. Largement utilisé dans la texture alimentaire pour ses propriétés colorantes et décoratrices, il présente également diverses applications intéressantes.
e174-argent

E174 : Argent

L’E174 est un additif alimentaire approuvé par l’Union européenne (UE). Ce composant en métal naturel est utilisé comme colorant pour améliorer la présentation de certaines denrées
e175-or

E175 : Or

L’additif alimentaire E175 est également désigné sous le nom d’« or alimentaire ». Ce dernier diffère de celui utilisé dans la bijouterie. Il est principalement exploité dans la pâtisserie et dans la gastronomie fine pour rehausser la présentation des créations culinaires. Son usage est autorisé dans l’Union européenne et aux États-Unis pour la décoration de plats tant salés que sucrés.
e180-lithol-rubine-bk

E180 : Lithol-rubine BK

La lithol-rubine BK est référencé sous le code alimentaire E180. Il s’agit d’un colorant synthétique utilisé pour donner une couleur rouge aux denrées alimentaires. En Europe, l’utilisation de cet additif alimentaire est limitée. Il présente potentiellement des risques pour la santé, notamment chez les personnes sensibles.
acide-sorbique-e200

E200 : Acide sorbique

L’acide ascorbique est fréquemment confondu à tort avec l’acide sorbique. Le premier est la bien connue vitamine C, tandis que le second est un additif alimentaire, connu sous le code « E200 ». Il est largement utilisé dans l’industrie alimentaire pour conserver les fruits, les légumes et certains aliments comme les margarines allégées ou les mayonnaises.
sorbate-de-potassium-e202

E202 : Sorbate de Potassium

Le code E202 fait référence à un additif alimentaire largement utilisé pour sa capacité à prolonger la durée de conservation des aliments. Il est souvent employé pour prévenir la croissance des moisissures et des levures. Cette caractéristique aide ainsi à maintenir la fraîcheur d’un certain nombre de produits.
acide-benzoique-e210

E210 : Acide benzoïque

L’acide benzoïque est utilisé dans l’industrie alimentaire comme agent de conservation. Il est capable de bloquer la prolifération des moisissures. Cependant, ce produit est néfaste à dose excessive. Une certaine prudence est de mise dans la consommation d’aliments contenant ce conservateur alimentaire. Vous évitez ainsi des désagréments pouvant altérer votre santé.
benzoate-de-sodium-e211

E211 : Benzoate de sodium

Le benzoate de sodium, également connu sous le nom de « sobenate », est un sel dérivé de l'acide benzoïque. Il est fréquemment utilisé dans l'industrie agroalimentaire en tant qu'agent conservateur antifongique, codifié par E211. Il est recommandé de consommer avec modération des produits alimentaires contenant ce composé. Cela prévient les éventuels malaises ou les complications susceptibles de nuire au bien-être et à la santé.
e212-benzoate-de-potassium

E212 : Benzoate de potassium

Le benzoate de potassium, connu sous le code E212, est un conservateur couramment utilisé dans les produits alimentaires, de beauté et de soins de la peau. Il permet d’empêcher la formation de levures, de bactéries, ainsi que de moisissures.
e215-ethyl-p-hydroxybenzoate-de-sodium

E215 : Éthyl-p-hydroxybenzoate de sodium

L’E215 est connu sous de nombreux noms, entre autres : « acide benzoïque », « éthylparabène sodique » ou « éthyl-p-hydroxybenzoate de sodium ». Il est aussi désigné par « sel de sodium », « 4-acide hydroxybenzoïque », « 4-éthoxycarbonylphénolate » ou encore « hydroxybenzoate d’éthyle de sodium ». Il est utilisé comme conservateur en tant qu’additif alimentaire.
e218-methyl-p-hydroxybenzoate

E218 : Méthyl p-hydroxybenzoate

L’E218 est un additif alimentaire connu sous les noms de « 4-hydrobenzoate de méthyle », « méthyl p-hydroxybenzoate » ou « méthylparabène ». Il s’agit d’un conservateur appartenant à la famille des parabènes et possédant des propriétés antifongiques et antibactériennes.
e219-methyl-p-hydroxybenzoate-de-sodium

E219 : Méthyl p-hydroxybenzoate de sodium

L’E219 correspond au composé chimique connu sous les noms de « méthyl p-hydroxybenzoate de sodium », de « sodium » et de « 4-methoxycarbonylphenolate ». Cet additif alimentaire appartient à la famille des parabènes et possède de ce fait des propriétés antibactériennes et antifongiques.
dioxyde-de-soufre

E220 : Dioxyde de soufre

Le dioxyde de soufre est un composé chimique incolore aux multiples usages. Utilisé depuis longtemps comme agent de fumigation et comme élément désinfectant et blanchissant, il trouve aujourd'hui de nombreuses applications tant industrielles qu’alimentaires grâce à ses diverses caractéristiques. En étant libéré dans l’atmosphère par la combustion d'énergies fossiles, il figure parmi les éléments ayant déclenché les pluies acides.
e122-bisulfate-de-sodium

E221 : Sulfite de sodium

L’E221, aussi connu sous le nom de « sulfite de sodium », est un additif utilisé dans l’industrie alimentaire pour ses propriétés conservatrices. Il est ajouté aux denrées pour prolonger leur durée de conservation en inhibant la croissance des bactéries et en évitant l’oxydation. D’origine synthétique, ce composé est autorisé en France sous certaines conditions. Compatible avec les produits bios, il convient aux régimes végétalien, végétarien, halal et casher.
e122-bisulfate-de-sodium

E222 : Bisulfite de sodium

Appartenant à la famille des sulfites, l’E222 est l’un des conservateurs les plus utilisés dans l’industrie alimentaire. Aussi appelé « bisulfite de sodium », il aide à prévenir la croissance des bactéries et à maintenir la fraîcheur des aliments. Cet additif est présent dans de nombreux produits alimentaires.
disulfite-de-potassium

E224 : Disulfite de potassium

Le disulfite de potassium est un conservateur qui permet d’entretenir la qualité des aliments et d’allonger leur date limite de consommation. Il est connu sous d’autres appellations dont pyrosulfite de potassium ou encore métabisulfite de potassium. Ce composé chimique fait partie des additifs alimentaires autorisés dans l’Union Européenne. Néanmoins, la consommation de nourritures contenant ce produit est à modérer afin d’éviter des problèmes de santé.
e225-sulfite-de-potassium

E225 : Sulfite de potassium

L’E225 fait référence au sulfite de potassium, un composé chimique utilisé comme additif alimentaire. Reconnu pour ses propriétés antimicrobienne et antioxydante, il est employé en tant qu’agent conservateur. Ce composé se trouve dans de nombreuses catégories d’aliments. Son utilisation n’est pas autorisée dans l’Union européenne.
e226-sulfite-de-calcium

E226 : Sulfite de calcium

L’E226, connu également sous le nom de « sel de calcium de l’acide sulfureux », est un dérivé calcique du dioxyde de soufre. En tant qu’additif alimentaire, il est surtout utilisé comme conservateur. À l’instar des autres sulfites, il agit en antioxydant, destiné à piéger l’oxygène pour mieux conserver les aliments et préserver leur couleur.
e227-sulfite-acide-de-calcium

E227 : Sulfite acide de calcium

Le code E227 de l'Union européenne est attribué à un additif alimentaire appelé « sulfite acide de calcium ». Ce dernier est également connu sous les noms de « bisulfite de calcium » et de « hydrogénosulfite de calcium ». Ce composé chimique appartient à la famille des sulfites.
e228-bisulfite-de-potassium

E228 : Bisulfite de potassium

L’E228, également connu sous le nom de « bisulfite de potassium », est un additif alimentaire principalement utilisé comme agent conservateur. Il contribue à préserver la saveur, la fraîcheur ainsi que la texture des aliments.
e234-nisine

E234 : Nisine

L’E234, de son nom « nisine », est un additif alimentaire utilisé comme conservateur. Il s’agit d’un peptide antibactérien polycyclique (34 résidus d’acides aminés) qui est issu
natamycine

E235 : Natamycine

Le code E235 fait référence à la natamycine, un agent antifongique utilisé afin de prévenir la croissance de moisissures et de levures dans les aliments. Cette substance est souvent exploitée dans l'industrie alimentaire en vue de prolonger la durée de conservation des denrées telles que le fromage et la charcuterie. Elle est considérée comme sûre lorsqu'elle est appliquée conformément aux directives émises par les autorités sanitaires. 
e239-hexamethylene-tetramine

E239 : Hexaméthylène tétramine

L’additif E239 est ajouté à divers produits alimentaires en tant que conservateur. Connu sous le nom d’hexaméthylène tétramine, il contribue à la prévention du développement des bactéries. Son usage dans certains aliments, à une quantité réglementée, est autorisé uniquement dans l’Union européenne. Une consommation à doses élevées de cette substance peut avoir des effets négatifs sur la santé humaine.
e240-formol

E240 : Formol

Le formol est un composé organique appartenant à la famille des aldéhydes. Il porte le code E240 en tant qu’additif alimentaire. Il est bon de noter qu’il a été supprimé de la liste des conservateurs par la Commission du Codex Alimentarius.
e241-guaiacol

E241 : Guaiacol

L’E241 fait partie des additifs alimentaires qui existent depuis bien longtemps. Son usage n’est pas limité à l’alimentation, mais il est également exploité en médecine.
nitrite-de-sodium

E250 : Nitrite de sodium

Portant le numéro E250, le nitrite de sodium représente une substance chimique de la famille des nitrites. Utilisé comme additif alimentaire, il est ajouté aux produits de viande afin de prévenir le développement de bactéries pathogènes. Bien que cette substance soit reconnue pour ses avantages dans la préservation des aliments, elle peut avoir des effets négatifs sur la santé.
nitrate-de-sodium

E251 : Nitrate de sodium

Le nitrate de sodium est une substance chimique synthétisée par réaction entre l’acide nitrique et le carbonate de sodium. Aussi connu sous le nom de « salpêtre du Chili », il porte le numéro E251. Cet additif contribue dans la préservation de la qualité et de la saveur des produits alimentaires, en particulier les charcuteries. Toutefois, il présente une certaine toxicité et son usage est réglementé.
nitrate-de-potassium

E252 : Nitrate de potassium

Composé d’anions nitrate (NO3−) et de cations potassium (K+), le nitrate de potassium est un sel inorganique ayant une densité comprise entre 2,1 et 2,2. Il se présente le plus souvent sous la forme d’une poudre cristalline incolore à blanchâtre ou de prismes transparents.
salpetre

E252 : Nitrate de Potassium, Salpêtre

Les propriétés de conservation du salpêtre s’utilisent depuis des siècles dans le domaine alimentaire. En l’occurrence, il se transforme en nitrite et devient un oxyde lorsqu’il est placé en milieu acide. Tel est notamment le cas au contact de la substance avec la viande de porc.
acetate-de-sodium-e262

E262 : Acétate de sodium

L’acétate de sodium, aussi connu sous le code E262, est l’un des plus anciens conservateurs alimentaires. Il est obtenu par l’association de sel de sodium et d’acide acétique dont la désignation est E260. Il peut avoir une origine naturelle ou synthétique et a un grand nombre d’utilisations.
acide-lactique-e270

E270 : Acide lactique

L’acide lactique est un composé organique qui intervient dans plusieurs processus biochimiques de l’organisme. Bien que son nom évoque un lien avec le lait, il est également présent dans certains fruits et légumes fermentés. En outre, une accumulation excessive de cette substance peut engendrer des effets indésirables.
acide-propanoique-e280

E280 : Acide propionique

L’acide propionique, également appelé « acide propanoïque », est un agent conservateur synthétique utilisé dans le domaine de l'agroalimentaire. Les scientifiques lui reconnaissent des caractéristiques propres aux exhausteurs de goût. Il est identifié sous le code E280. De plus, il est considéré sans danger pour la santé humaine.
e281-propionate-de-sodium

E281 : Propionate de sodium

L’E281 ou propionate de sodium est un agent de conservation principalement utilisé dans les produits de boulangerie. Il est approuvé en tant qu’additif alimentaire aux États-Unis, ...
propionate-de-calcium

E282 : Propionate de calcium

Le propionate de calcium présente de multiples vertus. Il s’agit en effet d’un additif alimentaire qui joue un rôle crucial dans la conservation des aliments, mais ce n’est pas son unique atout. De plus, des études ont montré que la consommation de ce produit ne présente aucun danger pour son utilisateur. La Food and Drug Administration (FDA) le qualifie comme un ingrédient « généralement reconnu comme sûr ». Pour toutes ces raisons, il tient une place importante dans le domaine commercial.
e290-dioxyde-de-carbone

E290 : Dioxyde de carbone

L’E290 est un agent cryogénique très utilisé dans le domaine de l’agroalimentaire. En effet, il est employé dans le processus de conservation de nombreuses denrées. Les propriétés du dioxyde de carbone sont également profitables dans différents domaines : industrie chimique et pétrolière, fabrication, métallurgie, agriculture, système de sécurité, etc.
acide-malique-e296

E296 : Acide malique

L'acide malique, également désigné sous le code E296, constitue un élément récurrent dans de multiples produits alimentaires. En tant qu'acidifiant, sa présence vise à apporter une touche de saveur appréciable aux aliments. Au-delà de son rôle dans l'alimentation, cet additif trouve aussi sa place dans l'industrie pharmaceutique et est incorporé à certains produits cosmétiques.
e300-acide-ascorbique

E300 : Acide ascorbique

L’E300 sert à améliorer divers produits alimentaires. Il est utilisé dans divers secteurs tels que la boucherie, la pâtisserie et la brasserie. Il est vendu sur différentes boutiques en ligne, en pot ou en sachet.
ascorbate-de-sodium-e301

E301 : Ascorbate de sodium

L’ascorbate de sodium correspond à une des formes de la vitamine C. Il est couramment employé dans l’industrie alimentaire pour ses nombreuses qualités. Cet additif alimentaire sert à préserver les aliments et à maintenir leur couleur. Il constitue même un complément vitaminique. En partageant des caractéristiques avec l’acide ascorbique, il offre également des bienfaits antioxydants favorables au maintien d’une bonne santé.
e306-extrait-riche-en-tocopherols

E306 : Extrait riche en tocophérols

L’extrait riche en tocophérols est un composé naturel utilisé en tant qu’additif alimentaire. Le Codex Alimentarius lui attribue le code E306 pour son identification. Il est présent dans de nombreuses préparations culinaires en raison de ses propriétés antioxydantes. Ce composé est en mesure d’altérer la qualité, la fraîcheur et la durée de conservation des aliments.
e307-tocopherols

E307 : Tocophérols

L’E307 ou tocophérol est communément connu en tant que vitamine E. Ce nutriment essentiel pour l’organisme est doté de nombreux avantages pour la santé.
e308-gamma-tocopherol

E308 : Gamma-tocophérol

L’E308 est connu sous le nom de « gamma-tocophérol synthétique ». Son utilisation en tant qu’additif alimentaire et antioxydant est favorable à la santé humaine. L’usage de cette substance dans divers produits est autorisé dans de nombreux pays, car elle est reconnue comme sûre.
e309-delta-tocopherol

E309 : Delta-tocophérol

Le delta-tocophérol constitue, avec le gamma, le bêta et l’alpha, les quatre tocophérols. Associés aux tocotriénols, ils forment les huit isomères de la vitamine E. En-dehors du domaine de la chimie, cette substance est couramment connue sous le terme « E309 ». Elle est un additif alimentaire qui fait partie de la liste des ingrédients de plusieurs types d’aliments industriels.
e311-gallate-octyle

E311 : Gallate d’octyle

Connu sous le nom de « gallate d'octyle », l’E311 est un composé chimique utilisé en tant qu’antioxydant. Il contribue à prolonger la durée de conservation des produits alimentaires, cosmétiques et pharmaceutiques.
e312-gallate-de-dodecyle

E312 : Gallate de dodécyle

Le gallate de dodécyle, identifié par le code E312, est un composé chimique reconnu pour sa propriété antioxydante. Ainsi, il est incorporé dans de nombreuses catégories d’aliments. L’utilisation de cet additif dans l’industrie alimentaire est autorisée en France, mais sous certaines conditions.
e315-acide-erythorbique

E315 : Acide érythorbique

E315 est le code faisant référence à l’acide érythorbique, également connu sous le nom « acide isoascorbique ». Ce stéréoisomère de l’acide ascorbique est souvent employé comme antioxydant dans la transformation des aliments. Il est aussi prisé dans d’autres domaines tels que l’industrie cosmétique, celle des boissons et celle de la pharmaceutique.
erythorbate-de-sodium

E316 : Érythorbate de Sodium

Le code E316, ou érythorbate de sodium, est un additif largement utilisé dans l'industrie alimentaire, reconnu pour ses propriétés antioxydantes. Il est couramment ajouté aux nourritures industrielles pour améliorer leur qualité visuelle. Bien que cette substance soit généralement considérée comme sûre pour la consommation humaine, il est essentiel de respecter les limites établies par les autorités sanitaires afin d'éviter tout risque potentiel.
e319-tert-butylhydroquinone-tbhq

E319 : Tert-butylhydroquinone (TBHQ)

L’E319 est connu sous les noms de « tert-butylhydroquinone » et de « butylhydroquinone tertiaire » (TBHQ). Il s’agit d’un additif alimentaire utilisé dans l'industrie alimentaire. Dérivé du pétrole, il est ajouté à divers aliments transformés, notamment aux surgelés, aux déshydratés et à ceux d'origine industrielle.
e320-butylhydroxyanisol-bha

E320 : Butylhydroxyanisol (BHA)

E320 est l’abréviation de la substance appelée BHA ou butylhydroxyanisol. Il s’agit d’un additif alimentaire synthétique permettant d’éviter que les aliments qui contiennent des huiles ne rancissent. L’usage de ce complément dans les denrées alimentaires est autorisé, mais à une quantité limitée. Certaines études révèlent qu’il présente un potentiel danger pour la santé humaine.
e321-Butylhydroxytoluene-BHT

E321 : Butylhydroxytoluène (BHT)

L’additif alimentaire E321 ou butylhydroxytoluène (BHT) est un agent de conservation utilisé dans les industries alimentaire et cosmétique. Il est largement exploité en raison de son coût abordable et de sa capacité à résister aux températures élevées.
lecithines

E322 : Lécithines

Les lécithines appartiennent à la catégorie des lipides, communément appelés « corps gras ». Elles constituent un des composants essentiels des cellules vivantes et peuvent provenir tant du règne animal que végétal. En tant qu’additif alimentaire, elles jouent un rôle essentiel dans l'industrie agroalimentaire. Leur fonction principale réside dans leur capacité à agir comme émulsifiants.
lactate-de-sodium

E325 : Lactate de sodium

Le lactate de sodium est un additif produit par la fermentation de sources de sucres telles que le maïs, la canne à sucre ou la betterave sucrière. Présentant de nombreuses propriétés, il est fréquemment utilisé dans les denrées alimentaires et dans certains produits cosmétiques. Cette substance est considérée comme inoffensive, car elle est métabolisée une fois ingérée.
e326-lactate-de-potassium

E326 : Lactate de potassium

Le lactate de potassium est le sel de potassium de l’acide lactique. Dans le secteur de l’industrie agroalimentaire, il s’agit de l’additif connu sous l’identification d’E326
lactate-de-calcium

E327 : Lactate de calcium

Le lactate de calcium, également désigné par le code E327, est un sel résultant de la combinaison du calcium et de l’acide lactique. Souvent employé comme additif alimentaire, ce composé est aussi incorporé dans divers produits pharmaceutiques. Bien que cette substance soit généralement considérée comme sûre pour la consommation humaine, son utilisation nécessite quelques précautions.
acide-citrique-e330

E330 : Acide citrique

L’acide citrique fait partie des additifs utilisés dans les produits alimentaires du quotidien. Sur les étiquettes, il est introduit par le code E330. Il est présent dans les fruits acidulés. Grâce à ses propriétés, cette substance est largement exploitée dans différents domaines. Elle procure aussi des bienfaits sur la santé. Cependant, la consommation de cet additif doit se faire de manière raisonnée pour éviter l’apparition des effets indésirables.
citra-de-sodium-e331

E331 : Citrate de Sodium

Le citrate de sodium est le sel trisodique de l'acide citrique. Ayant un goût aigre, il est utilisé comme additif alimentaire sous le code E331. Il représente une substance polyvalente exploitée non seulement pour ses propriétés gustatives, mais aussi pour ses vertus médicales. Il trouve notamment des applications dans le traitement de l'acidose métabolique.
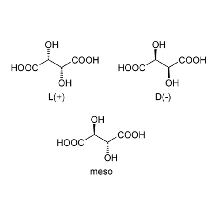
acide-tartrique

E334 : Acide tartrique

L’acide tartrique est un additif d’origine végétale. Il est présent naturellement dans les fruits. Il peut aussi être synthétisé par procédé chimique. Sur la liste des ingrédients des produits alimentaires, son code est E334. Ses voies d’usage sont multiples, tout autant que ses propriétés. Bien qu’il s’agisse d’une substance sûre, certaines précautions sont à prendre pour éviter les effets secondaires.
e335-tartrate-de-sodium

E335 : Tartrate de sodium

L’E335, également connu sous le nom de tartrate de sodium, est un sel de sodium de l'acide tartrique. Il est utilisé dans l'industrie alimentaire, principalement comme régulateur d'acidité et stabilisant. Cette substance est incorporée à de nombreuses catégories d’aliments. Sa consommation ne présente aucun risque pour la santé.
e336-tartrate-de-potassium

E336 : Tartrate de potassium

L’additif alimentaire E336 est connu sous le nom de « tartrate de potassium ». L’industrie alimentaire s’en sert couramment pour ses propriétés acidifiante et stabilisante. Ce sel de potassium de l’acide tartrique et le bitartrate de potassium (crème de tartre) sont souvent confondus, puisqu’ils partagent le même code alimentaire. Tant que la DJA ou dose journalière admissible est respectée, cet additif ne présente aucun risque pour la santé.
phosphate-de-sodium

E339 : Phosphate de sodium

Le phosphate de sodium est un composé chimique également appelé « TSP » ou « phosphate trisodique ». Comme il s’agit d’un produit irritant, sa manipulation en laboratoire requiert l’utilisation de gants et de lunettes. Dans l’Union européenne, les phosphates monosodique, disodique et trisodique sont classés dans la catégorie des additifs alimentaires.
phosphate-de-calcium

E341 : Phosphate de calcium

Comme son nom l’indique, le phosphate de calcium est un composé qui renferme du phosphate et du calcium. Naturellement présent dans le corps humain, il assure la résistance et la solidité des dents et des os. Il compose également la partie minérale du tissu osseux chez les mammifères. En dehors de ces rôles, ce composant est utilisé dans divers domaines : alimentaire, médical, pharmaceutique et industriel.
e343-phosphate-de-magnesium

E343 : Phosphates de magnésium

E343 ou « phosphates de magnésium » est le nom générique attribué aux sels inorganiques de magnésium et de phosphate. Ces derniers résultent de la réaction chimique se produisant entre l’acide phosphorique et le magnésium.
e350-malate-de-sodium

E350 : Malate de sodium

Identifié par le code E350, le malate de sodium est un additif utilisé comme régulateur d'acidité dans l'industrie alimentaire. Il s’agit d’une forme de sel de l’acide malique, qui se trouve naturellement dans certains fruits.
e351-malate-de-potassium

E351 : Malate de potassium

Également connu sous le code E351, le malate de potassium est un sel de potassium de l’acide malique. Ce dernier représente un acide organique présent dans de nombreux fruits. Dans l’industrie alimentaire, cet additif est utilisé principalement comme correcteur d’acidité, mais il a d’autres fonctions. Il ne comporte pas de risque pour la santé humaine.
e352-malate-de-calcium

E352 : Malate de calcium

L’E352 correspond au malate de calcium, un additif largement utilisé dans l’industrie alimentaire comme stabilisant et régulateur d’acidité. Il s’agit du sel de calcium de l’acide malique. Cette substance ne présente aucun risque pour la santé humaine. Comme pour la plupart des additifs alimentaires, il est important de respecter les limites maximales autorisées.
e353-acide-metatartrique

E353 : Acide métatartrique

L’E353, également connu sous le nom d’acide métatartrique, est un composé chimique utilisé dans l’industrie alimentaire comme additif. Il peut être synthétisé chimiquement ou extrait à partir de certaines sources naturelles. En raison de sa propriété acidifiante, cette substance joue un rôle majeur dans l’industrie vinicole.
e354-tartrate-de-calcium

E354 : Tartrate de calcium

L’additif E354, également connu sous le nom de « tartrate de calcium », est une substance employée dans l’industrie alimentaire. Agissant en tant que régulateur d’acidité, il se trouve dans de nombreux aliments, y compris ceux destinés aux jeunes enfants.
e355-acide-adipique

E355 : Acide adipique

L’E355 est l’additif alimentaire connu sous les noms d’« acide adipique » ou d’« acide 1,4-hexanedioïque ». Dans l’industrie agroalimentaire, il est utilisé pour acidifier des boissons sans alcool. En dehors de ce domaine, cette molécule est principalement connue pour la fabrication du nylon, mais aussi pour la synthèse des polyamides.
e356-adipate-de-sodium

E356 : Adipate de sodium

L’adipate de sodium est le sel de sodium de l’acide adipique. Il s’agit de l’additif alimentaire qui porte le numéro E356. Ce dernier est une substance synthétique qui ne risque pas de nuire à la santé de l’Homme, sauf en cas de non-respect de la dose recommandée par l’UE. Toutefois, son utilisation n’est pas compatible avec toute nourriture bio.
e357-adipate-de-potassium

E357 : Adipate de potassium

Selon la classe fonctionnelle du Comité mixte FAO/OMS, l’E357 sert de régulateur d’acidité lorsqu’il est ajouté à des denrées alimentaires. Cet additif est obtenu à partir de la synthèse de l’adipate de potassium. Jusqu’à présent, aucun risque lié à son utilisation n’est relevé, sauf en cas de consommation excessive de produits qui en contiennent. Toutefois, il s’avère toujours judicieux de respecter la dose journalière admissible définie par le JECFA afin de prévenir ses effets indésirables.
e363-acide-succinique

E363 : Acide succinique

Dans le Codex Alimentarius, l'E363 se rapporte à l'acide succinique, également connu sous les noms d' « acide butane-1,4-dioïque », d' « acide butanedioïque » ou d' « acide 1,4-butanedioïque ». Ce composé se trouve naturellement dans les tissus des animaux et des végétaux.
e380-citrate-de-triammonium

E380 : Citrate de triammonium

La formation du citrate de triammonium résulte de la combinaison de l'ammonium avec l'acide citrique, naturellement présent dans la plupart des fruits. Cet additif alimentaire est identifié sous le code E380. Son action en tant que régulateur d'acidité s'accompagne de propriétés préventives contre le brunissement des aliments, en plus de renforcer l'action d'autres agents oxydants.
e944-propane

E385 : Éthylène diamine tétra-acétique de calcium et de sodium (EDTA de calcium et de sodium)

L’EDTA ou éthylène-diamine-tétra-acétique porte le numéro E385 dans la liste des additifs alimentaires. Il peut être ajouté à de multiples préparations culinaires. Son utilisation s’étend également dans d’autres secteurs, notamment dans les domaines cosmétique et pharmaceutique. Toutefois, cette substance est susceptible de nuire à la santé de l’Homme.
e400-acide-alginique

E400 : Acide alginique

L’acide alginique (E400) est parfois appelé « algine » ou « alginate ». Cette dernière appellation désigne aussi ses dérivés, regroupant une base conjuguée, des esters et des sels...
e401-alginate-de-sodium

E401 : Alginate de sodium

La tartrazine est un colorant de synthèse. Ce composé azoïque est largement utilisé, car il est facile à produire, donc peu coûteux. Il est employé aussi bien dans l'alimentation industrielle que dans les produits cosmétiques, pharmaceutiques et textiles. Toutefois, en tant qu’additif alimentaire, aussi connu par son code E102, ce produit est sujet à controverse.
e402-alginate-de-potassium

E402 : Alginate de potassium

L’alginate de potassium est issu d’algues brunes. Dans le secteur de l’industrie alimentaire, il s’agit d’un additif connu sous l’identification d’E402. Ce produit d’origine naturelle sert surtout d’épaississant et de stabilisant. L’utilisation de ce sel d’acide alginique ne se limite pas à un usage alimentaire, puisqu’il entre également dans la fabrication de divers produits pharmaceutiques et cosmétiques.
e403-alginate-ammonium

E403 : Alginate d’ammonium

L’E403 est connu sous le nom d’ « alginate d’ammonium » ou de « polymannuronate d'ammonium ». Il s’agit d’un texturant alimentaire utilisé comme émulsifiant, épaississant et stabilisant. 
e404-alginate-de-calcium

E404 : Alginate de calcium

L’additif alimentaire E404, également connu sous le nom d’alginate de calcium, est dérivé d’algues brunes telles que les laminaires ou les fucus. Il est couramment utilisé dans l’industrie alimentaire comme gélifiant, épaississant, émulsifiant ou stabilisant. Il est présent dans une variété de produits industriels, allant des gelées alimentaires aux soins de beauté en passant par les peintures et les encres d’imprimerie.
e405-alginate-de-propylene-glycol

E405 : Alginate de propylène glycol

L’E405 est un additif alimentaire employé comme agent de texture. En effet, il s’agit d’un émulsifiant, d’un stabilisant et d’un gélifiant. On le retrouve ainsi dans plusieurs catégories de produits industriels. Ses propriétés sont également exploitées dans les domaines pharmaceutiques et cosmétiques. Toutefois, une forte consommation de cet élément peut être nocive pour la santé. 
e406-agar-agar

E406 : Agar-agar

L’E406 est un agent biologique communément connu sous l’appellation « agar-agar ». Très connu, l'agar-agar en phytothérapie et dans l’industrie agroalimentaire occupe le rôle d’agent de texture.
carraghenane

E407 : Carraghénane

Le carraghénane, également appelé carraghénine, représente des polysaccharides soufrés (galactanes sulfatés) extraits d'algues rouges. Il est utilisé dans l'industrie alimentaire en tant qu'agent d'épaississement et de stabilisation. Portant le code E407, cet additif est incorporé dans les produits laitiers, les boissons et les desserts. Par ailleurs, cette substance est exploitée dans le domaine médical. 
gomme-de-caroube

E410 : Gomme de caroube

La gomme de caroube est un additif végétal obtenu à partir des graines du caroubier. Elle est prisée dans le domaine alimentaire pour son pouvoir épaississant. Cet agent de texture participe à la régulation du taux de reflux, de la teneur en mauvais cholestérol et de la glycémie. Toutefois, il est important de modérer son utilisation afin d’éviter les effets indésirables.
gomme-de-guar

E412 : Gomme de guar

La gomme de guar est un polyholoside. Le galactomannane qu’il contient est extrait d’une plante annuelle appelée communément « haricot de guar » et qui appartient à la famille des Fabaceae. Au niveau de la graine, sa fonction est de servir de réserve d’eau et d’aliments. En cuisine, elle est utilisée pour lier, épaissir et émulsionner les préparations.
e413-gomme-tragacanthe

E413 : Gomme tragacanthe

La tartrazine est un colorant de synthèse. Ce composé azoïque est largement utilisé, car il est facile à produire, donc peu coûteux. Il est employé aussi bien dans l'alimentation industrielle que dans les produits cosmétiques, pharmaceutiques et textiles. Toutefois, en tant qu’additif alimentaire, aussi connu par son code E102, ce produit est sujet à controverse.
e414-gomme-arabique

E414 : Gomme arabique

L’E414 figure parmi les additifs les plus utilisés dans le domaine de l’agroalimentaire. En effet, cet élément totalement naturel est apprécié pour ses propriétés fonctionnelles.
gomme-xanthane

E415 : Gomme xanthane

La gomme xanthane est un additif alimentaire largement exploité dans l’industrie agroalimentaire. Elle est employée pour la fabrication de plusieurs nourritures transformées, ainsi que pour la réalisation de certaines recettes culinaires chez les particuliers.
e417-gomme-tara

E417 : Gomme tara

La tartrazine est un colorant de synthèse. Ce composé azoïque est largement utilisé, car il est facile à produire, donc peu coûteux. Il est employé aussi bien dans l'alimentation industrielle que dans les produits cosmétiques, pharmaceutiques et textiles. Toutefois, en tant qu’additif alimentaire, aussi connu par son code E102, ce produit est sujet à controverse.
gomme-gellane

E418 : Gomme gellane

La gomme gellane est un additif alimentaire d’origine microbienne. Son utilisation est courante dans les produits alimentaires, pharmaceutiques et cosmétiques. Reconnu pour son innocuité sur la santé, cet agent de texture possède des propriétés gélifiantes, stabilisantes et épaississantes. Il s’agit d’une alternative intéressante à la gélatine alimentaire d’origine animale.
sorbitol

E420 : Sorbitol

Le sorbitol, classé parmi les édulcorants, remplace le saccharose, bien que sa douceur soit deux fois moindre. Il est communément appelé « sucre de substitution » ou « faux sucre ». Il sert particulièrement d’additif alimentaire, mais il est aussi employé dans certaines préparations pharmaceutiques.
glycerine

E422 : Glycérine, Glycérol

La glycérine est un composé organique bien connu dans l’industrie cosmétique. Elle est aussi exploitée comme hydratant pour des médicaments. Cet alcool joue le rôle d’agent de texture dans le domaine alimentaire.
polysorbate-20

E432 : Polysorbate 20

Le polysorbate 20 est un émulsifiant efficace connu également comme E432, monolaurate de polyoxyéthylène sorbitane ou Tween 20. Il est fabriqué à partir de l’éthoxylation du sorbitane avant l’addition d’acide laurique. Son nom « monolaurate » fait référence à ce composé. En raison de sa stabilité et de sa non-toxicité, il trouve de multiples applications dans de nombreux domaines.
polysorbate-80

E433 : Polysorbate 80

Le polysorbate 80 est un émulsifiant, plus précisément l’additif alimentaire connu sous le code E433. Cet excipient peut être d’origine végétale ou animale. Il est couramment utilisé dans les industries agroalimentaire et pharmaceutique. Sa particularité réside dans sa capacité à mélanger des substances qui sont reconnues pour être normalement non miscibles et à prévenir la formation de dépôts. 
pectine

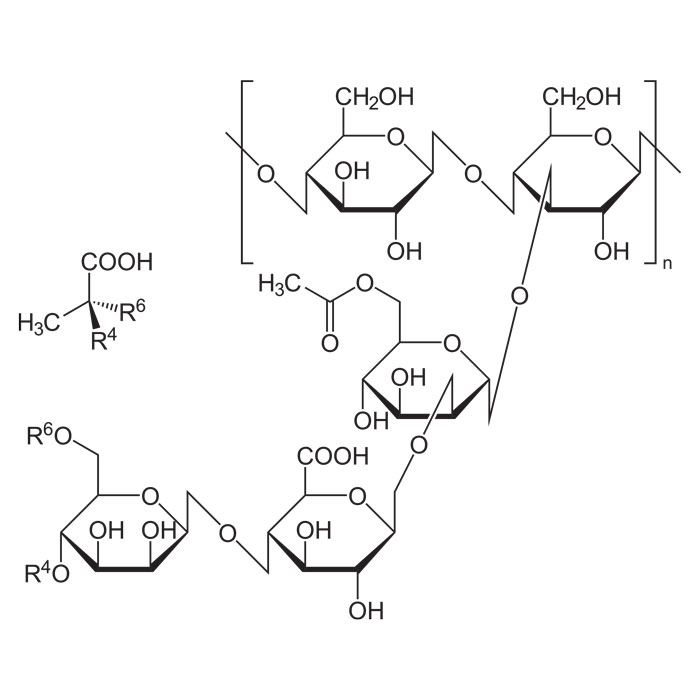
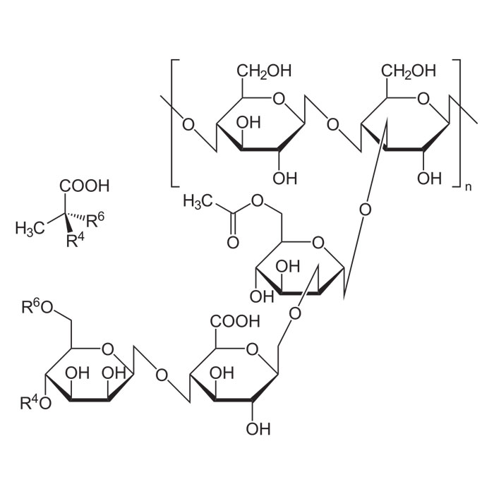
E440 : Pectine

La pectine est exclusivement d'origine végétale. Elle est abondante dans les pépins et les zestes de certains fruits tels que les groseilles, les pommes et les agrumes. Cette substance joue un rôle crucial dans le processus de gélification lors de la préparation de confiture, à partir d'un mélange de fruits et de sucre.
pectine-amidee

E440 : Pectine amidée

La pectine amidée est une substance chimiquement modifiée qui appartient à la famille de la pectine. Des résidus d’acide galacturonique y subissent une conversion en amides, en réagissant avec de l’ammoniac. Cet additif alimentaire est généralement produit industriellement sous forme de poudre fine. Il est parfois mélangé directement avec du sucre pour faciliter son incorporation dans les préparations alimentaires.
ester-glycerique-de-resines-de-bois-e445

E445 : Ester glycérique de résines de bois

L’E445, également connu sous le nom d’ « ester glycérique de résines de bois », est un additif utilisé dans l’industrie alimentaire. Il se trouve dans de nombreuses denrées telles que les sauces, les margarines, les desserts à base de lait, etc. Ce composé est généralement considéré comme sûr lorsqu'il est utilisé conformément aux bonnes pratiques de fabrication.
pyrophosphate-diphosphate-e450

E450 : Dypphosphates Pyrophosphates

Tout savoir sur l’additif E450 Dypphosphates Pyrophosphates : ses caractéristiques, ses propriétés, sa place en nutrition, ses applications et les risques liés à sa consommation Le code E450 fait référence aux diphosphates, une classe de sels et d'esters du phosphore. Cet additif alimentaire est utilisé principalement comme agent de levée dans la fabrication de produits de boulangerie et de pâtisserie. Bien que cette substance soit considérée comme sans danger, il est recommandé que sa consommation, par le biais des aliments qui en contiennent, se fasse avec modération. Description du E450 L’additif E450 est représenté par un diphosphate qui est formé de deux molécules
tripolyphosphate-de-sodium-e451

E451 : Triphosphate de Sodium

E451 est le code pour les additifs à base de triphosphates. Ces derniers  sont des sels dérivés de l’acide triphosphorique. Ils sont largement répandus dans les aliments transformés. Bien que leurs propriétés améliorent les caractéristiques des produits auxquels ils sont ajoutés, leur utilisation doit se faire avec la plus grande minutie. Les dosages sont à respecter afin d’éviter les effets indésirables sur la santé.
polyphosphates

E452 : Polyphosphates

Les polyphosphates, répertoriés sous le code E452, sont des sels de phosphates couramment utilisés comme additifs alimentaires. Ils sont présents dans l’alimentation quotidienne, en particulier dans les produits transformés tels que les charcuteries. Outre leur usage dans l’industrie alimentaire, ces composés sont également employés dans diverses applications, notamment dans le traitement des eaux.
cellulose-microcristalline

E460 : Cellulose microcristalline

Identifiée par le code E460, la cellulose microcristalline est un additif reconnu pour ses propriétés émulsifiante, stabilisante et épaississante. Ce composé est qualifié d’adjuvant en raison de sa capacité à modifier la texture des substances auxquelles il est ajouté. Il est utilisé dans des secteurs variés tels que l'agroalimentaire, la cosmétique ainsi que dans le domaine médical. Toutefois, cet excipient présente des effets secondaires sur la santé.
methylcellulose-e461

E461 : Méthylcellulose

L'E461, également connu sous le nom de méthylcellulose, se présente comme un additif incontournable dans l'industrie agroalimentaire. Ce composé est catégorisé par l'ANSES (Agence nationale de sécurité sanitaire de l'alimentation, de l'environnement et du travail) comme un ajout non conventionnel dans l'alimentation. Cette substance agit en tant qu'agent mousseux, émulsifiant et gélifiant.
e462-ethylcellulose

E462 : Éthylcellulose

Identifiée par le code E462, l’éthylcellulose est un additif utilisé pour améliorer la consistance, la texture ainsi que la stabilité des aliments. Non toxique et non allergène, cette substance ne présente aucun danger pour la santé humaine. Cependant, les fabricants sont tenus de respecter les limites d'utilisation pour assurer la sécurité des consommateurs.
hydroxyproxyl-methycellulose-e464

E464 : Hydroxypropyl méthylcellulose

L'E464, aussi appelé hydroxypropyl méthylcellulose ou hypromellose, est un additif alimentaire. Il est fréquemment utilisé dans les produits de panification industriels. Cette substance contribue aussi à la fabrication des gélules utilisées dans les compléments alimentaires.
e465-ethylmethylcellulose

E465 : Éthylméthylcellulose

L'additif E465, connu sous le nom d'éthylméthylcellulose, est un polymère dérivé de la cellulose. Dans l’industrie alimentaire, il sert d’agent épaississant, stabilisant et gélifiant. Grâce à ses propriétés, ce composé est employé dans de nombreux aliments transformés.
Carboxymethylcellulose-e466

E466 : Carboxyméthylcellulose

L’additif alimentaire qui se cache sous le code E466 est connu sous le nom de « carboxyméthyl cellulose », « gomme de cellulose » ou « carboxyméthyl cellulose de sodium ». Son utilisation est essentielle pour conserver et améliorer la texture et la consistance des denrées alimentaires. Il se retrouve dans une grande variété de produits transformés, notamment dans les boissons et les desserts. 
e469-carboxymethylcellulose sodique-enzymatiquement-hydrolysee

E469 : Carboxyméthylcellulose sodique enzymatiquement hydrolysée

L’E469, connu également sous le nom de « carboxyméthylcellulose sodique enzymatiquement hydrolysée », est un additif alimentaire utilisé comme agent stabilisant, émulsifiant et épaississant. Appartenant à la famille des celluloses, il peut être incorporé dans de nombreuses catégories d’aliments. Cependant, l’usage de ce composé est soumis à des réglementations strictes.
e470-sels-acides-gras

E470 : Sels d’acides gras

L’E470 est un additif alimentaire désignant les sels d’acides gras. Ces derniers sont des produits ayant pour base les éléments tels que le calcium, le potassium, le sodium et le magnésium. Ils sont autorisés en France comme aux États-Unis, où ils sont connus sous l’appellation Salts of fatty acids. Outre leur utilisation dans les recettes culinaires, ils présentent aussi de nombreuses autres applications intéressantes.
mono-et-diglycerides-d-acides-gras-e471

E471 : Mono- et diglycérides d’acides gras

Le E471, également appelé « mono- et diglycérides d’acides gras », est un additif conçu pour améliorer la texture de certains produits alimentaires. Il représente une alternative économique aux graisses animales et aux huiles végétales. Bien que ce composé soit reconnu comme sans danger, il peut provoquer des effets négatifs sur la santé en cas de consommation excessive.
e472

E472 : Esters mono- et diacétyltartriques des mono

Agent de texture, l’additif alimentaire E472 a une fonction émulsifiante, stabilisante ou épaississante. Se déclinant en plusieurs dérivés, il est également connu sous le nom de « esters de mono et diglycérides d’acides gras ». Les acides utilisés dans le traitement des acides gras permettent de produire différentes catégories de cet émulsifiant.
e473-sucroesters-acides-gras

E473 : Sucroesters d’acides gras

L’additif E473 est connu sous divers noms : « sucroesters d’acides gras », « esters de saccharose d’acides gras », « esters de sucre » et « esters de saccharose ». Ces substances sont introduites comme agents de texture dans les denrées alimentaires. En tant qu’additif alimentaire, elles ne présentent aucun danger pour la santé humaine, si les doses autorisées sont respectées. Les industries cosmétique et pharmaceutique utilisent également les sucroesters d’acides gras.
e474-sucroglycerides

E474 : Sucroglycérides

L’additif alimentaire, portant la référence E474, est obtenu à partir du mélange entre l’E471 et l’E473. Il sert surtout d’émulsifiant et d’agent de traitement de la farine, mais il entre également dans la préparation de différents produits alimentaires. Toutefois, l'ajout de sucroglycérides dans des nourritures bio est interdit. Comme il contient des résidus toxiques de solvants, il est susceptible de nuire à la santé de l’Homme.
e475-esters-polyglyceriques-acides gras

E475 : Esters polyglycériques d’acides gras

Les esters polyglycériques d’acides gras sont un additif alimentaire connu sous le code E475. Il est ajouté dans divers produits pour améliorer leurs propriétés nutritionnelles et leur structure. Ce composé entre également dans la composition de colorants alimentaires et dans le processus de mélange d’ingrédients de composition différente.
e477-esters-de-propylene-glycol-acides-gras

E477 : Esters de propylène glycol d’acides gras

L’E477 est un additif alimentaire connu sous le nom de « esters de propylène glycol d'acides gras » ou « monostéarate de propylène glycol ». L’industrie alimentaire l’ajoute à divers produits en tant qu’émulsifiant pour bien mélanger des ingrédients tels que l’eau et l’huile et leur donner une consistance et une texture spécifiques. D’une manière générale, cette substance est considérée comme sans danger pour la santé.
e479b-huile-de-soja-oxydee

E479b : Huile de soja oxydée

L’huile de soja oxydée constitue un additif alimentaire désigné par le code E479b. Elle tient une place majeure dans les préparations culinaires en raison de ses propriétés vertueuses. Cette substance sert également d’ingrédient dans diverses autres applications liées à l’industrie cosmétique et thérapeutique.
e482-stearoyl-2-lactylate-de-calcium

E482 : Stéaroyl-2-lactylate de calcium

L’E482 fait référence au stéaroyl-2-lactylate de calcium qui appartient à la famille des esters d’acide lactique et d’acide stéarique. Cet additif est principalement utilisé dans le domaine de la boulangerie. Il agit comme un agent de texture et de conservation pour les denrées alimentaires. Sa consommation excessive peut, toutefois, engendrer des effets indésirables sur la santé. 
e483-tartrate-de-stearyle

E483 : Tartrate de stéaryle

L’E483, communément connu sous le nom de « tartrate de stéaryle », est un ester synthétique produit à partir de l'acide tartrique et de l'alcool stéarylique. Il est utilisé comme agent de texture dans divers produits alimentaires et cosmétiques. Ayant un faibleniveau de toxicité, cet additif est autorisé en France, mais sous certaines conditions.
laurylsulfate-de-sodium

E487 : Laurylsulfate de sodium

Le laurylsulfate de sodium est un tensioactif anionique couramment utilisé dans l’industrie cosmétique. Il est particulièrement apprécié pour sa capacité à produire de la mousse, ainsi que pour sa propriété émulsifiante. Il fait également partie des composants de plusieurs produits d’hygiène domestiques et industriels. Dans le domaine de l’agroalimentaire, il joue le rôle de support d’additif. 
monostearate-de-sorbitane-e491

E491 : Monostéarate de Sorbitane

Le E491 est un additif fréquemment utilisé dans le domaine de l’alimentation et de l’industrie pharmaceutique. Bien que son usage soit répandu, les informations disponibles sur cette substance restent limitées. 
e493-monolaurate-de-sorbitane

E493 : Monolaurate de sorbitane

L'E493, également connu sous le nom de monolaurate de sorbitane, est un additif alimentaire agissant en tant qu’agent de texture. Il sert à stabiliser les mélanges de matières grasses et d'eau dans de nombreux produits alimentaires. Cette substance comporte des risques pour la santé, surtout en cas de consommation excessive.
e494-monooleate-de-sorbitane

E494 : Monooléate de sorbitane

Le monooléate de sorbitane est un ester de sorbitane. Il est un additif utilisé dans diverses préparations culinaires. Celui-ci porte le numéro d’identification E494. Cette substance insoluble dans l’eau est approuvée par l’Agence fédérale américaine des produits alimentaires et médicamenteux (FDA) comme agent émulsifiant. Ses applications s’étendent également dans d’autres domaines, notamment ceux de la cosmétique et de la médecine.
e495-monopalmitate-de-sorbitane

E495 : Monopalmitate de sorbitane

L’additif E495 fait référence au monopalmitate de sorbitane. Cette substance chimique est un polysorbate connu sous le nom commercial « Span 40 ». Elle s’avère largement exploitée dans l’industrie alimentaire. Ce composé est présent dans différents types de denrées comestibles, comme les confiseries et les sauces. Il se trouve également dans de nombreux produits cosmétiques et pharmaceutiques.
carbonate-de-sodium

E500 : Carbonate de sodium

Identifié par le code « E500 », le carbonate de sodium est un additif alimentaire utilisé dans de nombreux produits de consommation courante. Ce composé est largement employé dans l’industrie agroalimentaire pour réguler l’acidité des aliments. Il sert aussi d’agent levant, d’épaississant, de stabilisant et d’antiagglomérant.
carbonate-de-potassium

E501 : Carbonate de potassium

Le carbonate de potassium est le composant principal du sel de potasse. Il s’agit d’un additif alimentaire largement utilisé pour sa polyvalence dans de nombreuses denrées alimentaires. Il exerce plusieurs fonctions, opérant comme agent levant, régulateur d’acidité, stabilisateur et support pour d’autres additifs. En dehors de son usage en alimentation, ce composé est également très apprécié dans divers domaines, pour ne citer que l’agriculture, l’industrie médicale et la fabrication de verre.
carbonate-d-ammonium

E503 : Carbonate d’ammonium

Portant le numéro E503, le carbonate d’ammonium est un composé chimique synthétique qui occupe une place importante dans l’industrie alimentaire. Reconnu pour sa propriété levante, cet additif est incorporé aux produits de boulangerie. Il est aussi employé comme adjuvant dans les boissons, les biscuits et les sucreries. Bien qu’elle soit considérée comme étant inoffensive, cette substance doit être utilisée avec précaution.
carbonate-de-magnesium

E504 : Carbonate de magnésium

Le carbonate de magnésium est un sel inorganique incolore ou blanc. Dans la nature, il est également disponible sous forme minérale. Sa formule chimique brute est MgCO3. Sa poudre est, entre autres, utilisée comme antitranspirant par les individus qui pratiquent une activité sportive régulièrement.
e509-chlorure-de-calcium

E509 : Chlorure de calcium

La tartrazine est un colorant de synthèse. Ce composé azoïque est largement utilisé, car il est facile à produire, donc peu coûteux. Il est employé aussi bien dans l'alimentation industrielle que dans les produits cosmétiques, pharmaceutiques et textiles. Toutefois, en tant qu’additif alimentaire, aussi connu par son code E102, ce produit est sujet à controverse.
chlorure-d-ammonium

E510 : Chlorure d’ammonium

Le chlorure d’ammonium est un additif alimentaire polyvalent répertorié sous le numéro E510. Utilisé comme agent levant, acidifiant, aromatisant et coagulant, il se trouve notamment dans les pâtisseries, les confiseries, les conserves et diverses boissons. Par ailleurs, ce composé est aussi prisé dans d’autres domaines tels que la cosmétique et la médecine.
e511-chlorure-de-magnesium

E511 : Chlorure de magnésium

La tartrazine est un colorant de synthèse. Ce composé azoïque est largement utilisé, car il est facile à produire, donc peu coûteux. Il est employé aussi bien dans l'alimentation industrielle que dans les produits cosmétiques, pharmaceutiques et textiles. Toutefois, en tant qu’additif alimentaire, aussi connu par son code E102, ce produit est sujet à controverse.
e513-acide-sulfurique

E513 : Acide sulfurique

La tartrazine est un colorant de synthèse. Ce composé azoïque est largement utilisé, car il est facile à produire, donc peu coûteux. Il est employé aussi bien dans l'alimentation industrielle que dans les produits cosmétiques, pharmaceutiques et textiles. Toutefois, en tant qu’additif alimentaire, aussi connu par son code E102, ce produit est sujet à controverse.
sulfate-de-sodium

E514 : Sulfate de sodium

Le sulfate de sodium est un composé chimique largement utilisé en tant que correcteur d'acidité de synthèse sous le code E514. Ce sel est formé d'un ion sulfate, d'ions sodium et de molécules d'eau. Il est extrait de gisements naturels situés au Mexique et en Espagne. Sa production industrielle est réalisée selon différentes techniques, impliquant la neutralisation de l'excès d'acide sulfurique avec de la soude.
sulfate-de-potassium

E515 : Sulfate de potassium

Le sulfate de potassium est un composé polyvalent qu’il est possible de synthétiser ou de trouver à l’état naturel. Dans le domaine de l’alimentation, il sert à la fois d’additif et de complément alimentaire. Il est notamment utilisé comme agent raffermissant, antiagglomérant et correcteur d’acidité. De plus, il possède des propriétés qui font de lui un élément prisé dans d’autres secteurs tels que l’agriculture et la cosmétique.
sulfate-de-calcium

E516 : Sulfate de calcium

Le sulfate de calcium est un composé inorganique résultant de la combinaison du sel de calcium et de l’acide sulfurique. Il est principalement utilisé comme additif alimentaire, surtout en boulangerie. Ses fonctions sont diverses, car il a des propriétés antiagglomérantes, raffermissantes, épaississantes, stabilisantes, régulatrices d’acidité, blanchissantes, etc.
e517-sulfate-ammonium

E517 : Sulfate d’ammonium

Identifié par le code E517, le sulfate d’ammonium est un composé chimique largement utilisé dans divers secteurs industriels. Son application est répandue dans l'industrie alimentaire comme agent levant et dans le domaine de l’agriculture en tant qu’engrais. Bien que cet additif soit considéré comme sûr, il est important de l'utiliser conformément aux directives et aux réglementations en vigueur.
e518-sulfate-de-magnesium

E518 : Sulfate de magnésium

Le sulfate de magnésium porte le numéro E518 des additifs alimentaires. L’usage de sel de magnésium d'acide sulfurique ne se limite pas à des préparations culinaires. En effet, parmi ses différentes applications, il sert d’accessoire de cinéma pour simuler le givre sur les vitres lors d’un tournage. Il entre également dans la composition de divers produits pharmaceutiques. Toutefois, son application à forte dose risque de nuire à la santé de l’Homme.
e519-sulfate-de-cuivre

E519 : Sulfate de cuivre

Classé sous le code E519, le sulfate de cuivre est un sel de cuivre de l’acide sulfurique. Ce composé produit synthétiquement possède un pouvoir émulsifiant. Il est généralement utilisé en tant qu’agent conservateur. Le contact, l’ingestion et l’inhalation de cette substance pure présentent des effets indésirables.
e519-sulfate-aluminium

E520 : Sulfate d’aluminium

L'E520, également connu sous le nom de sulfate d'aluminium, est un composé chimique utilisé dans divers produits alimentaires. Lorsqu’elle est employée conformément aux limites établies par la réglementation, cette substance est considérée comme inoffensive. Cependant, comme pour tout additif alimentaire, il est recommandé de le consommer avec modération.
e521-sulfate-aluminium-sodique

E521 : Sulfate d’aluminium sodique

L’E521 est connu sous les noms de « sulfate d’aluminium sodique » ou « sulfate d’aluminium et de sodium ». Il est aussi appelé « alun de soude » ou « SAS ». Il trouve des applications dans l’industrie alimentaire, mais aussi dans d’autres domaines.
e523-sulfate-aluminium-ammonique

E523 : Sulfate d’aluminium ammonique

L’E523 est appelé « sulfate d’aluminium ammonique », « sulfate de monoaluminium et de monoammonium » ou encore « sulfate d’aluminium et d’ammonium ». Il s’agit du sel d’aluminium et d’ammonium de l’acide sulfurique. Cet additif alimentaire est principalement utilisé comme agent de levage dans la fabrication de pains et de pâtisseries, mais il sert aussi dans d’autres domaines.
e525-hydroxyde-de-potassium

E525 : Hydroxyde de potassium

La tartrazine est un colorant de synthèse. Ce composé azoïque est largement utilisé, car il est facile à produire, donc peu coûteux. Il est employé aussi bien dans l'alimentation industrielle que dans les produits cosmétiques, pharmaceutiques et textiles. Toutefois, en tant qu’additif alimentaire, aussi connu par son code E102, ce produit est sujet à controverse.
hydroxyde-de-calcium

E526 : Hydroxyde de calcium

L’hydroxyde de calcium est un additif alimentaire visant à réguler l’acidité des denrées. Ses fonctions agissent également avec des agents de texture, permettant de gélifier les préparations. Cet élément ne fournit pas de bienfaits nutritionnels pour le corps. Néanmoins, ses atouts sont exploités dans le domaine du cosmétique. Son utilisation requiert également certaines précautions pour éviter les effets indésirables.
e527-hydroxyde-ammonium

E527 : Hydroxyde d’ammonium

L’E527 ou hydroxyde d’ammonium est couramment appelé « ammoniaque ». Il s’agit de la solution formée par la dissolution dans l’eau du gaz incolore appelé « ammoniac ». Cet additif alimentaire est utilisé comme agent levant et comme régulateur de pH dans certains produits alimentaires. Il répond également à des applications dans d’autres domaines.
e528-hydroxyde-de-magnesium

E528 : Hydroxyde de magnésium

L’E528 est le code E utilisé par l’Union européenne pour se référer à l’hydroxyde de magnésium en tant qu’additif alimentaire. Il est ajouté dans divers aliments comme agent régulateur d’acidité. L’utilisation de ce composé chimique inclut de nombreuses autres applications thérapeutiques en raison de ses propriétés antiacides et laxatives.
e529-oxyde-de-calcium

E529 : Oxyde de calcium

Identifié par le code E529, l’oxyde de calcium est un additif utilisé dans l’industrie alimentaire comme régulateur d'acidité et agent antiagglomérant. Il se trouve dans de nombreux aliments. Bien que ce composé soit considéré comme sûr, il est important de respecter les doses approuvées pour prévenir les effets indésirables.
e528-hydroxyde-de-magnesium

E530 : Oxyde de magnésium

Dans le Codex Alimentarius, l’E530 désigne l’oxyde de magnésium, aussi connu sous le nom de « magnésie ». À l’état naturel, on le trouve sous la forme périclase. Son utilisation dans l’industrie alimentaire vise à prévenir l’agglutination des particules et à réguler le potentiel d’hydrogène (pH). Par ailleurs, il possède de nombreuses propriétés qui font de lui un élément prisé dans divers secteurs tels que l’agriculture, la médecine, etc.
ferrocyanure-de-sodium-e535

E535 : Ferrocyanure de sodium

Le ferrocyanure de sodium est un composé chimique complexe souvent décahydratée. Ce sel a l’aspect de cristaux jaune pâle solubles dans l’eau. Il est utilisé en tant qu’additif, principalement dans le sel de table
e536-ferrocyanure-de-potassium

E536 : Ferrocyanure de potassium

L'additif alimentaire E536, également connu sous le nom de « ferrocyanure de potassium » est utilisé comme agent antiagglomérant dans divers produits, notamment les épices et les sels. Bien que largement utilisé, ce composé chimique présente des risques pour la santé en cas de consommation excessive. Ainsi, son usage nécessite une surveillance adéquate et le respect strict des directives réglementaires pour garantir la sécurité alimentaire.
e538-ferrocyanure-de-calcium

E538 : Ferrocyanure de calcium

Identifié par le code E538, le ferrocyanure de calcium est requis dans l'industrie alimentaire comme agent antiagglomérant. Ce composé ne présente aucun danger pour la santé humaine lorsque son application respecte les directives de sécurité alimentaire établies. Cet additif convient aux régimes végétalien, casher et halal. Pourtant, il n’est pas autorisé dans la filière d’alimentation biologique.
e541-phosphate-aluminium-sodique

E541 : Phosphate d’aluminium sodique

L’E541 est connu sous le nom de « phosphate d’aluminium et de sodium » ou de « phosphate d’aluminium sodique ». Il est aussi appelé « acide aluminoisodique », ou tout simplement « SALP » ou « SAIP ». En tant qu’additif alimentaire, il est principalement utilisé comme acide levant à réaction lente et thermique.
dioxyde-de-silicium

E551 : Dioxyde de silicium

Le dioxyde de silicium est un élément chimique utilisé comme additif alimentaire. Connu sous le code E551, il est prisé en tant qu’anti-agglomérant et stabilisant. Bien que ce composé soit pratique, sa surconsommation peut engendrer des effets indésirables sur la santé. Des réglementations sont en vigueur concernant son dosage et ses limitations. 
silicate-de-calcium

E552 : Silicate de calcium

Le silicate de calcium est un additif identifié sous le code E552. Également appelé « silicate dicalcique » ou « orthosilicate de calcium », il est utilisé comme antiagglomérant, agent antiacide et anticoagulant dans l’industrie alimentaire. En raison de ses propriétés polyvalentes, il trouve différentes applications dans d'autres secteurs : agricole, cosmétique, construction et industriel.
e553-silicate-de-magnesium

E553 : Silicate de magnésium

L’E553 est connu sous le nom de « silicate de magnésium » ou de « talc ». Il s’agit d’une substance utilisée dans l’industrie alimentaire en tant qu’additif antiagglomérant, mais aussi dans le domaine pharmaceutique et le secteur des cosmétiques. Il fait partie de la famille du dioxyde de silicium ou des silicates.
e554-silicate-alumino-sodique

E554 : Silicate alumino-sodique

L’E554 est connu sous le nom de « silicate alumino-sodique » ou « silicate d’aluminium et de sodium ». Il fait partie de la grande famille des additifs alimentaires que les fabricants utilisent pour améliorer la qualité de leurs produits et les rendre plus attrayants. Cette substance est largement utilisée en tant qu’anti-agglomérant. 
e555-silicate-alumino-potassique

E555 : Silicate alumino-potassique

L’E555 est connu sous le nom de « silicate alumino-potassique » ou « silicate d’aluminium et de potassium ». Il est répertorié au Codex Alimentarius en tant qu’antiagglomérant : son rôle est de limiter l’agglutination des particules dans un produit en poudre. Cette propriété permet d’en assurer la fluidité. Il est également utilisé comme support pour les colorants E171 (le dioxyde de titane) et E172 (les oxydes et hydroxydes de fer).
e556-silicate-alumino-calcique

E556 : Silicate alumino-calcique

L’E556 est un additif alimentaire connu sous le nom de « silicate d’aluminium et de calcium » ou de « silicate alumino-calcique ». Il s’agit d’un antiagglomérant naturel qui est autorisé en France sous conditions.
e558-bentonite

E558 : Bentonite

La tartrazine est un colorant de synthèse. Ce composé azoïque est largement utilisé, car il est facile à produire, donc peu coûteux. Il est employé aussi bien dans l'alimentation industrielle que dans les produits cosmétiques, pharmaceutiques et textiles. Toutefois, en tant qu’additif alimentaire, aussi connu par son code E102, ce produit est sujet à controverse.
e559-silicate-aluminium-kaolin

E559 : Silicate d’aluminium (kaolin)

L’E559 est connu sous les noms de « silicate d’aluminium » et de « kaolin ». Il s’agit d’un composé chimique à base de silicate, d’aluminium et d’oxygène. Il est listé au Codex Alimentarius comme additif alimentaire en tant qu’agent antiagglomérant, mais sert aussi dans des champs d’application, autres que l’industrie alimentaire.
e560-silicate-de-potassium

E560 : Silicate de potassium

L’E560 est connu sous le nom de « silicate de potassium », « métasilicate de potassium » ou « trisilicate de potassium ». Il s’agit d’une substance soluble dans l’eau qui entre principalement dans la fabrication de peinture minérale. Elle sert alors de liant avec d’excellentes propriétés de cohésion. En tant qu’additif alimentaire, elle est utilisée comme antiagglomérant.
e570-acide-gras

E570 : Acide gras

Le code E570 désigne un additif alimentaire regroupant sept acides gras saturés. Ces derniers sont : l’acide caprylique, l’acide stéarique, l’acide caprique, l’acide laurique, l’acide myristique, l’acide palmitique et l'acide oléique.
stearate-de-magnesium

E572 : Stéarate de magnésium

Le stéarate de magnésium, ou octadécanoate de magnésium, est une poudre blanche dérivée de l’acide stéarique et du magnésium. Reconnu pour ses propriétés épaississante et lubrifiante, il est employé dans les industries alimentaire, pharmaceutique et cosmétique. Bien que son utilisation soit répandue, il suscite des controverses en raison de ses effets potentiels sur la santé. Il est utilisé en tant qu’additif alimentaire sous le code E572.
e574-acide-gluconique

E574 : Acide gluconique

Dans le Codex Alimentarius, l’acide gluconique est répertorié sous la référence E574. Ce composé organique existe naturellement dans les plantes et chez les animaux.
e579-gluconate-de-fer

E579 : Gluconate de fer

L’E579 est un additif introduit dans les boissons et les aliments. Il s’agit d’un stabilisant synthétique ou naturel, d’un complément alimentaire et d’un colorant alimentaire également appelé « gluconate ferreux ». Plusieurs industries se servent aussi de cette substance.
e620-acide-glutamique

E620 : Acide glutamique

L’E620 est un exhausteur de goût très apprécié dans le domaine alimentaire. Présent naturellement dans certains aliments, l’acide glutamique qui le constitue est ajouté artificiellement...
glutamate-de-sodium

E621 : Glutamate de sodium

Le glutamate de sodium est communément connu sous les appellations de glutamate monosodique, monosodium glutamate, MSG ou GMS. Cet additif qui se cache sous le code E621 est largement utilisé dans l’industrie alimentaire pour ses qualités variées. Toutefois, sous cette forme synthétisée, il est désigné comme responsable de nombreux maux.
e626-acide-guanylique

E626 : Acide guanylique

La tartrazine est un colorant de synthèse. Ce composé azoïque est largement utilisé, car il est facile à produire, donc peu coûteux. Il est employé aussi bien dans l'alimentation industrielle que dans les produits cosmétiques, pharmaceutiques et textiles. Toutefois, en tant qu’additif alimentaire, aussi connu par son code E102, ce produit est sujet à controverse.
e628-guanylate-dipotassique

E628 : Guanylate dipotassique

L'E628 fait référence au guanylate dipotassique, et est aussi connu sous le nom de « guanylate de dipotassium ». Il s’agit d’un sel potassique de l’acide guanylitique ou guanosine monophosphate. Cet additif alimentaire est un guanylate utilisé principalement comme exhausteur de goût au même titre que les glutamates, les inosinates et bien d’autres.
e632-inosinate-dipotassique

E632 : Inosinate dipotassique

L’E632 est un additif alimentaire d’origine animale. Il est utilisé pour la préparation de différents types d’aliments. Cependant, son usage dans des denrées à destination des enfants de moins de 12 semaines s’avère interdit.
e634-calcium-5-ribonucleotide

E634 : Calcium 5′-ribonucléotide

Répertorié sous le numéro de référence E634, l’additif alimentaire est également connu sous le nom de 5'-ribonucléotide de calcium.  Il est un exhausteur de goût dix fois plus puissant que le glutamate, utilisé dans diverses denrées. Ce composé appartient à la famille des ribonucléotides, des dérivés des acides ribonucléiques. D’odeur neutre, il rehausse également l’arôme des denrées auxquelles il est incorporé.
e635-disodium-5-ribonucleotide

E635 : Disodium 5′-ribonucléotide

Le code E635 de l’Union européenne est attribué à un additif alimentaire appelé « 5'-ribonucléotide disodique ». Ce dernier est utilisé en tant qu’exhausteur de goût dans les aliments. En combinaison avec des glutamates, il renforce et crée la sensation de goût umami.
e640-glycine-et-son-sel-de-sodium

E640 : Glycine et son sel de sodium

La tartrazine est un colorant de synthèse. Ce composé azoïque est largement utilisé, car il est facile à produire, donc peu coûteux. Il est employé aussi bien dans l'alimentation industrielle que dans les produits cosmétiques, pharmaceutiques et textiles. Toutefois, en tant qu’additif alimentaire, aussi connu par son code E102, ce produit est sujet à controverse.
e900-polydimethylsiloxane

E900 : Polydiméthylsiloxane

Le polydiméthylsiloxane est un polymère couramment utilisé dans l’industrie cosmétique. Dans le secteur de la nutrition, il joue le rôle d’additif alimentaire et porte une autre appellation : « E900 ». Il se retrouve ainsi dans la composition de plusieurs types de denrées comestibles. Les aliments qui en contiennent le plus sont les produits industriels et transformés.
cire-de-carnauba

E903 : Cire de carnauba

La cire de carnauba est une résine obtenue à partir des feuilles du palmier éponyme. Le nom scientifique de l’arbre d’origine est Copernicia prunifera, et il croît naturellement au nord-est du Brésil. Cette matière végétale est principalement utilisée en tant qu’additif alimentaire. Elle possède aussi diverses applications en cosmétique, en automobile, en menuiserie et dans bien d’autres domaines.
e904-gomme-laque

E904 : Gomme-laque

L’E904, un additif alimentaire également appelé « shellac » ou « gomme-laque », est utilisé dans les industries agroalimentaire et pharmaceutique.
e905-paraffine

E905 : Paraffine

L’E905 est un additif alimentaire qui joue principalement le rôle d’agent de glaçage et d’enrobage. Il peut être appliqué sur la peau de produits tels que les fruits, ...
e907-poly-1-decene-hydrogene

E907 : Poly-1-décène hydrogéné

L’additif alimentaire E907 est un émollient pur qui est à base d’hydrocarbure. Il sert d’agent d’enrobage dans diverses préparations culinaires. Le polydéc-1-ène hydrogéné est également un composant essentiel de différents produits cosmétiques.
e912-esters-de-acide-montanique

E912 : Esters de l’acide montanique

L’E912 est un additif alimentaire dérivé de sources d’origine naturelle. Auparavant, il a été exclusivement autorisé en tant qu’agent de glaçage, notamment d’enrobage de fruits. Puis, la Commission européenne l’a retiré de sa liste d’additifs autorisés dans les denrées alimentaires.
e949-hydrogene

E914 : Cire de polyéthylène oxydée

La cire de polyéthylène oxydée est une matière thermoplastique synthétique. Dans le domaine alimentaire, elle est connue sous le code E914 et assure le rôle d’agent d’enrobage. Concrètement, la matière est appliquée à la surface externe de l’aliment, lui conférant un aspect brillant tout en assurant un revêtement de protection. Une divergence d’opinion existe néanmoins en ce qui concerne sa toxicité, d’où son utilisation limitée à certaines denrées alimentaires et à certaines filières.
e920-l-cysteine

E920 : L-cystéine

La tartrazine est un colorant de synthèse. Ce composé azoïque est largement utilisé, car il est facile à produire, donc peu coûteux. Il est employé aussi bien dans l'alimentation industrielle que dans les produits cosmétiques, pharmaceutiques et textiles. Toutefois, en tant qu’additif alimentaire, aussi connu par son code E102, ce produit est sujet à controverse.
e927b-carbamide

E927b : Carbamide

L’E927b est l’additif obtenu par synthèse de l’ammoniac (NH3) et du dioxyde de carbone (CO2). Commercialement connu sous l’appellation « carbamide », il se présente sous forme de poudre sèche, de liquide, de pastille ou de gros cristaux.
e938-argon

E938 : Argon

L’argon, désigné par le numéro E938, est un additif largement utilisé dans l’industrie alimentaire. Il est employé dans de nombreuses catégories d’aliments.
e939-helium

E939 : Hélium

L’E939 est utilisé dans le domaine agroalimentaire en tant que gaz d’emballage et gaz propulseur. Obtenu à partir de l’élément chimique He, il est surtout apprécié dans le cadre du conditionnement d’aliments sensibles.
e941-azote

E941 : Azote

Dans le Codex Alimentarius, l’E941 désigne l’azote, également connu sous le nom de « diazote ». La structure chimique de cet élément lui permet d’avoir un effet d’inertie. Par conséquent, il est utilisé dans le domaine alimentaire comme gaz inerte. Cette substance est ainsi appréciée pour ses capacités relatives à la propulsion et au conditionnement de diverses denrées.
e942-protoxyde-azote

E942 : Protoxyde d’azote

L’E942 ou protoxyde d’azote présente un large éventail d’applications. Outre son utilisation comme additif alimentaire, il est également employé dans le domaine médical pour ses propriétés anesthésiques et analgésiques. Par ailleurs, ce gaz sert de comburant pour améliorer les performances des moteurs dans les compétitions automobiles. 
e943a-butane

E943a : Butane

Le butane est, depuis plusieurs décennies, un gaz largement connu en tant que combustible. En effet, il est couramment employé dans la plupart des appareils ménagers, notamment la cuisinière. Dans l’industrie agroalimentaire, il sert d’additif. La molécule est, d’ailleurs, enregistrée sous le numéro E943a dans le Codex Alimentarius. Elle est principalement présente dans les produits à vaporiser.
e943b-isobutane

E943b : Isobutane

L’E943b est généralement retrouvé dans une large variété de produits comestibles ainsi que dans des aérosols tels que des déodorants et divers articles cosmétiques. L’isobutane est également incorporé dans des produits de nettoyage et de revêtement.
e944-propane

E944 : Propane

L’E944, aussi appelé « propane », est un gaz inflammable. Il est employé comme propulseur dans les bombes aérosols. L’utilisation de cette substance dans les produits alimentaires est réglementée par les autorités sanitaires. Des limites strictes sont établies pour garantir sa sécurité et son innocuité.
e948-oxygene

E948 : Oxygène

Le code E948 fait référence à l’oxygène, également appelé dioxygène. Cet additif alimentaire figure dans la liste des gaz propulseurs, inerteurs, conditionneurs ou traceurs, selon les réglementations européennes. Il est fortement apprécié pour sa capacité à conserver plus longtemps la couleur rouge des viandes, la fraîcheur des végétaux… Pour ce faire, cette molécule de formule chimique O2 doit être mélangée à d’autres éléments, créant ainsi une atmosphère protectrice.
e949-hydrogene

E949 : Hydrogène

Le code E949 fait référence à l’hydrogène, également appelé dihydrogène. Dans le règlement européen (CE) n° 1333/2008, il est listé dans la catégorie des traceurs, plus précisément dans les gaz de conditionnement.
acesulfame-k-e950

E950 : Acésulfame K

L’acésulfame K est un édulcorant également connu comme « Ace K » ou « acésulfame potassium », la lettre « K » étant le symbole du potassium. Ce sel de potassium de l’acésulfame porte le numéro E950 dans le code des additifs alimentaires. Son pouvoir sucrant est 100 à 200 fois plus élevé que celui du saccharose, ou sucre commun.
e951-aspartame

E951 : Aspartame

Répertorié sous le code E951, l’aspartame est un édulcorant artificiel composé de deux acides aminés naturels : l'ester méthylique de la L-phénylalanine et l’acide L-aspartique.
e953-isomalt

E953 : Isomalt

L’E953 est un polyol utilisé comme édulcorant dans le domaine alimentaire. Il s’agit d’un sucre-alcool pouvant être utilisé comme substitut au sucre de table.
e954-saccharine

E954 : Saccharine

La tartrazine est un colorant de synthèse. Ce composé azoïque est largement utilisé, car il est facile à produire, donc peu coûteux. Il est employé aussi bien dans l'alimentation industrielle que dans les produits cosmétiques, pharmaceutiques et textiles. Toutefois, en tant qu’additif alimentaire, aussi connu par son code E102, ce produit est sujet à controverse.
sucralose

E955 : Sucralose

Le sucralose est un additif utilisé comme édulcorant. Ce composé est obtenu à partir d’une chloration sélective du saccharose. Il est prisé dans l’industrie alimentaire pour son pouvoir sucrant intense et ses propriétés non caloriques. De plus, il supporte des températures de cuisson dépassant les 200 °C et peut être mélangé à des ingrédients très acides. 
e961-neotame

E961 : Néotame

L’E961 est un édulcorant récemment autorisé dans de nombreux pays, comme la Nouvelle-Zélande, le Costa Rica, la Chine, la Russie, les Philippines et l’Australie.
maltitol

E965 : Maltitol

Le maltitol est un édulcorant naturel « de masse » ou « de charge ». Il est recommandé pour remplacer le sucre ordinaire. Il est de la même famille que le sorbitol, le xylitol et le mannitol. Ce polyol est connu pour ses nombreux avantages pour la santé, en plus de son pouvoir sucrant. 
e966-lactitol

E966 : Lactitol

L’E966, aussi appelé lactitol, est un additif utilisé comme substitut du sucre dans les produits alimentaires. Il a un impact moindre sur la glycémie, ...
xylitol

E967 : Xylitol

Le xylitol, aussi appelé « sucre de bouleau », est un édulcorant naturel. Il s’agit d’une bonne alternative au sucre ordinaire ou au saccharose. Il présente, en effet, de nombreux bienfaits pour la santé. Cet élément favorise la santé bucco-dentaire et digestive, tout en possédant des effets antibactériens.
erythritol

E968 : Érythritol

L’érythritol est le sucre alcool ou polyol qui porte le numéro E968 dans le code des additifs alimentaires. Il fait partie de la famille des édulcorants dits « de charge » ou « de masse », produits à partir de la fermentation du glucose avec des levures en solution aqueuse. Son pouvoir sucrant est plus faible que celui du sucre, de l’ordre de 60 à 80 % à poids égal. Il est présent dans de nombreux produits alimentaires et a de nombreuses applications.
e999-extrait-de-quillaia

E999 : Extrait de quillaia

La tartrazine est un colorant de synthèse. Ce composé azoïque est largement utilisé, car il est facile à produire, donc peu coûteux. Il est employé aussi bien dans l'alimentation industrielle que dans les produits cosmétiques, pharmaceutiques et textiles. Toutefois, en tant qu’additif alimentaire, aussi connu par son code E102, ce produit est sujet à controverse.

Les additifs alimentaires : Tout savoir au travers de notre guide des additifs alimentaires de A à Z, leurs caractéristiques, leurs utilisations, leurs valeurs nutritionnelles, leurs origines et leurs bienfaits

Qu’est-ce qu’un additif alimentaire ?

Les additifs alimentaires sont des substances ajoutées intentionnellement aux aliments dans le but d'obtenir un effet technologique spécifique pendant la production, le traitement, la préparation, le traitement, l'emballage, le transport ou l'entreposage de ces aliments. En d'autres termes, ils sont introduits dans les aliments avec l'intention d'apporter une modification particulière à l'aliment ou de conférer une propriété particulière. Cela peut comprendre l'amélioration de la couleur, de la saveur, de la texture, ou la conservation des propriétés d'un aliment. Examinons les additifs alimentaires sous divers aspects de leur utilisation et de leur catégorisation.


1. Colorants Alimentaires :


Les colorants alimentaires sont des additifs qui sont utilisés pour restaurer ou améliorer la couleur d'un aliment. Par exemple, ils peuvent être utilisés pour s'assurer qu'un jus d'orange conserve sa couleur orange vif tout au long de sa durée de conservation ou pour rendre une boisson gazeuse d'une couleur particulière.


2. Conservateurs :


Les conservateurs sont ajoutés aux aliments dans le but de prolonger leur durée de conservation en prévenant la croissance de micro-organismes, tels que les bactéries, les levures, et les moisissures. Les exemples incluent le sorbate de potassium et le nitrite de sodium.


3. Édulcorants :


Les édulcorants peuvent être ajoutés aux aliments pour leur donner un goût sucré. Cela peut inclure des édulcorants caloriques, comme le sucre et le miel, ainsi que des édulcorants non caloriques ou faibles en calories, tels que l'aspartame et la stévia.


4. Émulsifiants, Stabilisants, et Gélifiants :


Ces additifs aident à stabiliser les aliments en maintenant les ingrédients qui se séparent normalement, tels que l'huile et l'eau, mélangés ensemble. Les émulsifiants permettent une distribution uniforme des graisses, tandis que les gélifiants et les stabilisants aident à maintenir la consistance des gelées, des flans, et d'autres produits similaires.


5. Exhausteurs de Goût :


Les exhausteurs de goût sont utilisés pour intensifier les saveurs des aliments sans contribuer à leur propre goût. Le glutamate monosodique (MSG) est un exemple courant d'exhausteur de goût.


6. Antiagglomérants :


Les antiagglomérants sont utilisés pour empêcher les particules dans les aliments en poudre, tels que le sel et le lait en poudre, de s'agglomérer et de former des grumeaux.


L'utilisation d'additifs alimentaires est strictement réglementée dans de nombreux pays et toutes les substances utilisées doivent être évaluées pour leur sécurité avant d'être autorisées à être utilisées dans les aliments. L'emploi d’additifs alimentaires doit respecter le principe de nécessité technologique, et les niveaux d'utilisation doivent se conformer à la condition de "quantum satis" (la quantité la plus faible nécessaire pour obtenir l'effet désiré).

L’origine et l’histoire des additifs alimentaires

Les additifs alimentaires, bien que plus systématiquement utilisés et analysés dans le contexte de l'industrie alimentaire moderne, ont des racines historiques profondes. La manipulation des aliments pour en améliorer le goût, l'aspect ou la durabilité est pratiquée depuis des millénaires, avec des méthodes et des matériaux évoluant avec le temps et la technologie. La conservation des aliments, la modification de leur couleur ou de leur goût, et l'amélioration de leur texture ont toutes été des préoccupations centrales pour les cuisiniers et les fabricants d'aliments à travers l'histoire.


1. L’Antiquité :


Depuis l'Antiquité, l'humanité a cherché des moyens de conserver les aliments et d'en améliorer la saveur. Les Romains, par exemple, utilisaient du garum, une sauce de poisson fermentée, pour rehausser la saveur de nombreux plats. Les épices, provenant de contrées lointaines, étaient également convoitées non seulement pour leurs capacités à rehausser la saveur, mais aussi pour leurs propriétés de conservation. Le sucre, le sel, et le vinaigre étaient utilisés comme agents de conservation pour prolonger la durée de vie des aliments bien avant l'époque moderne.


2. Moyen Âge :


Au Moyen Âge, diverses méthodes de conservation, telles que le salage, le fumage, et le séchage, étaient couramment utilisées. Les épices étaient très prisées, non seulement pour leurs propriétés aromatisantes mais aussi pour leurs capacités à masquer les goûts de la décomposition dans un monde sans réfrigération. L’usage des épices était souvent un signe de statut en raison de leur rareté et de leur coût.


3. L’Époque Moderne :


La révolution industrielle a apporté une production alimentaire à plus grande échelle et a introduit de nouveaux défis en matière de conservation et de transport des aliments. Cela a entraîné le développement et l’utilisation d’additifs alimentaires plus systématique et scientifique. Par exemple, le nitrate de sodium et le nitrite de sodium ont commencé à être utilisés pour la conservation de la viande. Les colorants, tels que les colorants azoïques, ont été introduits pour améliorer l'apparence des aliments.


4. Le XXe et XXIe Siècle :


Avec l'avènement de la chimie moderne et la croissance exponentielle de l'industrie alimentaire au cours du 20e siècle, les additifs alimentaires sont devenus omniprésents. Les exhausteurs de goût, les émulsifiants, les stabilisants, les colorants, et une pléthore d'autres ont été introduits dans l'offre alimentaire. La sécurité des additifs alimentaires a commencé à être réglementée, et des organisations telles que la Food and Drug Administration (FDA) aux États-Unis et l'Autorité européenne de sécurité des aliments (EFSA) en Europe ont été créées ou chargées d'évaluer et de réguler leur utilisation dans la chaîne alimentaire.


Les additifs alimentaires continuent d’évoluer avec l’adoption de nouvelles technologies et la connaissance croissante de la science alimentaire. Aujourd'hui, avec une attention accrue portée à la santé, la sécurité, et la naturalité des aliments, de nombreux fabricants explorent des alternatives aux additifs traditionnels, et les innovations dans ce domaine, telles que les additifs dérivés d'algues ou de champignons, continuent de façonner le paysage de l'industrie alimentaire.


La complexité et l'envergure de l'histoire des additifs alimentaires en font un sujet riche et multiforme, reflétant l'évolution constante de notre relation avec les aliments que nous consommons.

Quels sont les différents types d’additifs alimentaires ?

Les additifs alimentaires sont variés et jouent de nombreux rôles différents dans la préparation, la conservation et l'amélioration des aliments que nous consommons. Classer ces additifs peut s'avérer une tâche complexe étant donné la multitude de fonctions qu'ils remplissent. Cependant, il est possible de les catégoriser selon l'effet qu'ils sont censés avoir sur le produit fini.


1. Colorants Alimentaires :


Les colorants sont utilisés pour ajouter ou restaurer la couleur dans un aliment, pour améliorer son apparence. Ils peuvent être naturels, comme le curcuma ou la betterave, ou synthétiques, tels que la tartrazine ou l'indigotine.


2. Conservateurs :


Les conservateurs prolongent la durée de vie des produits en inhibant la croissance microbienne. Par exemple, le sorbate de potassium est utilisé dans certains fromages, vins, et boulangeries pour empêcher la croissance de moisissures et de levures.


3. Antioxydants :


Les antioxydants empêchent l'oxydation des aliments, un processus qui peut provoquer leur rancissement et la dégradation des nutriments qu'ils contiennent. Exemple : la vitamine E est souvent utilisée pour éviter l'oxydation des graisses et des huiles.


4. Émulsifiants :


Les émulsifiants permettent à des liquides qui ne se mélangent normalement pas, comme l'huile et l'eau, de rester mélangés ensemble. La lécithine, par exemple, est utilisée dans le chocolat pour lier le cacao, le cacao et les autres ingrédients.


5. Stabilisants et Épaississants :


Les stabilisants, gélifiants et épaississants sont utilisés pour produire et maintenir une texture désirée. Les algues, par exemple, sont souvent utilisées dans les crèmes glacées pour empêcher les cristaux de glace de se former lors de la congélation.


6. Exhausteurs de Goût :


Les exhausteurs de goût améliorent la saveur des aliments. Le glutamate monosodique (MSG) est un exhausteur de goût bien connu, souvent utilisé dans la cuisine asiatique.


7. Correcteurs d’acidité et régulateurs de pH :


Ces additifs sont utilisés pour contrôler et maintenir le niveau d'acidité des aliments. Le bicarbonate de sodium, par exemple, est utilisé dans la pâtisserie comme levain chimique.


8. Agents Antiagglomérants :


Les antiagglomérants empêchent les particules de s'agglomérer et sont souvent utilisés dans les mélanges en poudre. Le silicate de calcium est un exemple d'antiagglomérant utilisé dans les mélanges pour soupes en poudre.


9. Édulcorants :


Les édulcorants, qui peuvent être nutritifs (sucre) ou non nutritifs (sucralose), sont utilisés pour donner une saveur sucrée aux aliments sans ajouter de calories ou avec moins de calories que le sucre.


Ces catégories représentent une brève introduction aux types d'additifs alimentaires et à leurs usages. Chacune d'entre elles comporte une grande variété de substances, chacune avec ses propres caractéristiques et applications dans l'industrie alimentaire. Bien que les additifs alimentaires soient généralement utilisés en toute sécurité dans le respect des directives réglementaires, leur utilisation suscite des discussions concernant les implications pour la santé, l'environnement et les aspects éthiques de la production alimentaire.

Quels sont les bienfaits des additifs alimentaires ?

Les additifs alimentaires, en dépit de parfois être source de préoccupations en termes de santé et d'environnement, jouent plusieurs rôles cruciaux dans la production alimentaire moderne, offrant une gamme de bienfaits qui vont au-delà de la simple préservation des aliments. Ces bienfaits peuvent être catégorisés de diverses manières, notamment en termes de qualités sensorielles, de conservation et de facilité de production.


1. Préservation et Sécurité Alimentaire :


Les additifs conservateurs aident à maintenir la fraîcheur des aliments en les protégeant contre les dommages causés par les microbes, l'air, l'humidité et la température, réduisant ainsi le risque de maladies d'origine alimentaire tout en prolongeant la durée de conservation des produits.


2. Amélioration du Goût et de l'Apparence :


Les colorants, les arômes et les exhausteurs de goût améliorent l'apparence et la saveur des aliments, rendant les produits plus attrayants et appétissants pour les consommateurs. Les édulcorants ajoutent ou renforcent la douceur, ce qui peut être particulièrement utile dans les produits destinés à ceux qui cherchent des alternatives au sucre.


3. Amélioration de la Texture et de la Consistance :


Les émulsifiants, les stabilisants et les épaississants aident à établir et à maintenir une texture uniforme, améliorant ainsi la consistance des produits. Par exemple, les émulsifiants empêchent la séparation des ingrédients dans les produits comme les vinaigrettes, assurant une expérience uniforme à chaque utilisation.


4. Facilité de Production et de Distribution :


Les additifs peuvent également faciliter le processus de production alimentaire, en aidant les produits à passer à travers les machines plus efficacement, en réduisant les problèmes tels que le colmatage ou les variations de qualité. Ils peuvent également améliorer la stabilité des produits pendant le transport et le stockage, permettant une distribution plus large de certains aliments.


5. Apport Nutritif :


Certains additifs peuvent être utilisés pour améliorer la valeur nutritive des aliments en les enrichissant en vitamines, minéraux ou autres nutriments. Cela peut être particulièrement bénéfique dans les populations qui peuvent avoir un accès limité à une gamme complète d'aliments nutritifs.


6. Offre de Produits Diversifiée :


Les additifs permettent également une plus grande diversité de produits sur le marché, en facilitant la production de versions alternatives d'aliments, comme les produits sans sucre, sans gluten ou à faible teneur en matières grasses, répondant ainsi aux besoins des consommateurs ayant des régimes alimentaires spécifiques.


Alors que les additifs alimentaires offrent de nombreux avantages en matière de production alimentaire, de conservation et d'amélioration des qualités sensorielles, il est également crucial d'évaluer et de réguler rigoureusement leur utilisation pour assurer qu'ils sont employés de manière sûre et responsable. L’équilibre entre les avantages pratiques des additifs et la nécessité de protéger la santé publique et l'environnement continue d'être un domaine important de recherche et de réglementation dans le domaine de la science alimentaire.

Quelles sont les valeurs nutritionnelles des additifs alimentaires ?

Les additifs alimentaires sont principalement utilisés pour améliorer la durée de vie, la saveur, la couleur et la texture des aliments, et non pour ajouter une valeur nutritive. Cependant, certains additifs peuvent avoir une incidence mineure sur le profil nutritionnel des aliments. Il est également essentiel de noter que, bien que certains additifs alimentaires soient dérivés de sources alimentaires, leur valeur nutritionnelle peut être modeste ou inexistante dans le contexte de leur utilisation en tant qu'additifs.


1. Édulcorants :


Certains édulcorants, tels que le sucre, le miel et le sirop de maïs, ajoutent des calories aux produits. D'autre part, les édulcorants non nutritifs, tels que l'aspartame ou la stévia, fournissent la douceur sans ou avec très peu de calories, ce qui peut être bénéfique pour ceux qui surveillent leur apport calorique.


2. Fibres Alimentaires :


Certains additifs, tels que l'inuline ou les gommes, peuvent augmenter la teneur en fibres d'un produit, favorisant ainsi la digestion et potentiellement améliorant la santé intestinale. Les fibres alimentaires peuvent également avoir un impact positif sur le métabolisme des glucides et des lipides.


3. Vitamines et Minéraux :


Certains produits sont enrichis avec des vitamines et des minéraux pour augmenter leur valeur nutritive. Par exemple, le lait est souvent enrichi en vitamine D, et le sel est généralement iodé pour garantir que les populations reçoivent ces nutriments essentiels.


4. Acides Gras :


Certains additifs, tels que les émulsifiants, peuvent contribuer, bien que de manière minime, aux graisses et aux calories totales d'un produit. Les acides gras trans sont particulièrement préoccupants en matière de santé et sont souvent présents dans les graisses partiellement hydrogénées utilisées dans la production alimentaire.


5. Sodium :


De nombreux additifs alimentaires, tels que les agents de conservation et les exhausteurs de goût, contiennent du sodium. Le contrôle de l'apport en sodium est crucial pour maintenir une tension artérielle saine et réduire le risque de maladies cardiovasculaires.


En somme, bien que les additifs alimentaires ne soient généralement pas une source significative de nutrition, ils peuvent affecter le profil nutritionnel d'un aliment d'une manière ou d'une autre. La compréhension des implications des différents additifs en matière de nutrition et de santé est vitale pour naviguer de manière éclairée dans le paysage alimentaire moderne et pour faire des choix alimentaires sains et équilibrés. Cela est particulièrement pertinent dans le contexte d'une population de plus en plus consciente de la santé et de l'importance d'une alimentation nutritive.

Les additifs alimentaires et la santé

Les additifs alimentaires jouent un rôle essentiel dans l'industrie alimentaire moderne. Ils améliorent la saveur, la couleur, la texture et prolongent la durée de conservation des produits. Cependant, leur impact sur la santé humaine est un sujet de préoccupation et de débat depuis des décennies. Tandis que bon nombre d'entre eux sont considérés comme sûrs après des études approfondies, certains ont été liés à des problèmes de santé ou sont encore en cours d'évaluation. Comprendre les implications potentielles des additifs sur la santé peut aider les consommateurs à faire des choix éclairés.


1. Allergies et Sensibilités :


Certains additifs peuvent provoquer des réactions allergiques ou des sensibilités chez certaines personnes. Par exemple, les sulfites, utilisés pour préserver la fraîcheur de certains aliments, peuvent provoquer des réactions chez ceux qui y sont sensibles.


2. Effets sur le Métabolisme :


Certains édulcorants artificiels, bien que sans calorie, peuvent affecter la manière dont le corps réagit au sucre, influençant potentiellement le métabolisme et la régulation de la glycémie.


3. Perturbateurs Endocriniens :


Certains additifs sont suspectés d'agir comme perturbateurs endocriniens, interférant avec le système hormonal du corps. Les phtalates, par exemple, qui peuvent entrer dans les aliments à partir d'emballages, ont été associés à des perturbations hormonales.


4. Risques Cancérigènes :


Des additifs comme certaines amines aromatiques, présentes dans les colorants, ont été classées comme potentiellement cancérogènes. Il est crucial de noter que le risque est souvent associé à des consommations excessivement élevées.


5. Effets sur la Santé Intestinale :


Certains émulsifiants ont été associés à des modifications de la flore intestinale, ce qui pourrait avoir des implications sur l'inflammation intestinale ou d'autres maladies digestives.


6. Effets Neurologiques :


Des additifs comme le glutamate monosodique (MSG) ont été associés, bien que rarement, au syndrome du restaurant chinois, qui provoque des symptômes tels que des maux de tête et de la transpiration. Cependant, la plupart des études ont trouvé que le MSG est sans danger pour la majorité des gens.


Il est important de souligner que de nombreux additifs alimentaires ont été rigoureusement testés et sont considérés comme sûrs pour la consommation à des niveaux normaux d'exposition. Les organismes de réglementation, tels que la Food and Drug Administration (FDA) aux États-Unis ou l'Agence Européenne de Sécurité des Aliments en Europe, établissent des limites d'utilisation pour garantir la sécurité des consommateurs.


Alors que de nombreux additifs alimentaires sont sûrs, il est toujours conseillé de consommer des aliments les moins transformés possible et de lire les étiquettes pour être informé de ce que contient vraiment un produit. La modération, la diversité alimentaire et l'éducation sur les ingrédients peuvent grandement contribuer à une alimentation saine et équilibrée.

Quelle est la réglementation des additifs alimentaires ?

La réglementation des additifs alimentaires est un aspect crucial de la sécurité alimentaire, établie pour protéger la santé des consommateurs tout en soutenant l'innovation et la disponibilité des produits alimentaires. D'un pays à l'autre, les régulations varient, bien que nombre d'entre elles partagent des principes communs en se basant sur la science et la recherche. Examinons les divers aspects de la réglementation des additifs alimentaires dans différents contextes géographiques.


1. Évaluation et Approbation :


Avant qu'un additif alimentaire puisse être utilisé dans l'industrie alimentaire, il doit subir une évaluation rigoureuse pour assurer sa sécurité. Des organismes tels que la Food and Drug Administration (FDA) aux États-Unis, l'Autorité Européenne de Sécurité des Aliments (EFSA) en Europe, et d'autres agences régionales, sont responsables de l'évaluation des données scientifiques concernant la sécurité des additifs.


2. Classification et Codification :


Les additifs alimentaires sont souvent classés et codifiés pour faciliter leur identification et leur utilisation réglementée. Par exemple, le système de numérotation E est utilisé en Europe pour identifier les additifs alimentaires approuvés.


3. Utilisation et Limites :


Une fois approuvés, l'utilisation d'additifs alimentaires est généralement restreinte à certaines applications et à des niveaux spécifiques. Les réglementations définissent dans quels produits un additif peut être utilisé et à quelle concentration maximale.


4. Étiquetage :


La réglementation exige généralement que les additifs alimentaires soient correctement étiquetés pour informer les consommateurs. Les exigences spécifiques peuvent varier, mais elles impliquent généralement la divulgation des additifs utilisés, parfois sous leur nom commun et/ou leur numéro de code.


5. Surveillance Post-Marketing :


Après qu'un additif est autorisé et se trouve sur le marché, il continue généralement à être surveillé pour s'assurer qu'il demeure sûr dans le contexte des régimes alimentaires actuels et de toute nouvelle recherche scientifique.


6. Controverses et Réévaluations :


Les décisions réglementaires concernant les additifs alimentaires peuvent être sujettes à des controverses et sont parfois réévaluées à la lumière de nouvelles données scientifiques ou de préoccupations du public. Les politiques peuvent évoluer pour refléter une meilleure compréhension des risques ou des bénéfices associés à un additif particulier.


En conclusion, la réglementation des additifs alimentaires vise à équilibrer les avantages, tels que l'amélioration de la conservation et des caractéristiques des aliments, avec la nécessité de protéger les consommateurs contre les risques potentiels pour la santé. La science et la recherche continuent à guider ces réglementations, dans l'objectif de soutenir des systèmes alimentaires sûrs et innovants à travers le monde.

Retour au début

Recherche de produits

Le produit a été ajouté à votre panier